Reform and Renewal: Opportunities in New York City’s FY 2024 Budget
Photo by Dominik Bindl/Getty Images
Introduction
New York City faces an uncertain fiscal future. Vanishing federal pandemic relief, a struggling commercial real-estate sector, outmigration to other states, declining public school enrollment, persistent inflation, an above-average unemployment rate, the migrant crisis, enduring crime and disorder, and a lagging stock market are just some of the headwinds facing the city. Those only add to New York’s long-standing challenges in building housing supply, public-contracting inefficiencies, and controlling public pension costs.
Against this backdrop, Mayor Eric Adams and the New York City Council will soon finalize negotiations for the city’s FY 2024 budget, a document that will govern almost as many public dollars as Florida’s state government.[1] The decisions made this year will have crucial implications for the city’s ability to weather its uncertain environment. According to a March 2023 report from the city comptroller’s office, New York faces budget gaps of $7 billion in FY 2025 and $10 billion in FY 2026.[2] If the city does not close some of these gaps in the upcoming year, New Yorkers will be forced to contend with the prospect of higher taxes and service cuts in the not-too-distant future.
In this report, Manhattan Institute experts provide readers with a broad overview of the most important contributors to New York City’s budget. The departments and agencies that it explores constitute more than a majority of the city budget and affect the daily lives of New Yorkers. Each department contends with a unique set of political and bureaucratic issues, and all can be improved in several ways.
Each section of this report will first describe the department and its context within city government. It will then discuss the budget issues facing the department and suggest avenues for improvement. Readers will therefore learn not only about problems and limitations but also constructive steps that political leaders can take to address them.
Legal Frameworks for New York City’s Budget
John Ketcham
Director, State & Local Policy; Fellow, Manhattan Institute
The Context
Before midnight on June 30, per the New York City Charter, New York’s mayor and city council must negotiate and pass a balanced city budget according to generally accepted accounting principles (GAAP).[3] Each year’s adopted budget results from months of public input, city council hearings, and requests by councilmembers and the five borough presidents to allocate more funds for districts, boroughs, and programs. The many constituencies that have a stake in the city budget generally place pressure for higher government spending. The far fewer voices in favor of fiscal discipline include the city and state comptrollers’ offices, the charter-mandated Independent Budget Office, nonprofit groups like the Citizens Budget Commission, Empire Center for Public Policy, and Manhattan Institute, and, sometimes, the mayor.
But in addition to the balanced budget mandate, the mayor and the council do not have a free hand to set spending as they see fit. The New York State Constitution, state statutes, judicial decisions, and the city charter require the city government to conduct its affairs in ways that have an impact on its budget. From long-standing hiring and procurement requirements, to control over public-employee pension changes, to new conditions in each year’s state budget, Albany determines a sizable portion of the city budget.
Most directly, the state contributes about $17 billion, or 16%, of the city’s $106.3 billion revised FY 2023 budget.[4] Federal funds account for $12.4 billion, or 11.7%, an amount projected to drop sharply to $7 billion by FY 2026. But less directly, legal restrictions increase the city’s costs, and they impose trade-offs that limit city leaders’ ability to reduce taxes and expand services. They also limit the city’s ability to reform some of its largest expense items, such as education, pension benefits, and health care.
Some of these requirements pertain most directly to the capital budget, which is distinct from the operating (or expense) budget but determines the amount of debt that the city takes on, usually in the form of long-term bonds, which, in turn, affects the amount that the city pays annually in debt service. State laws that determine how the city conducts capital projects therefore bear an important relationship to its expense budget. Currently, debt service represents 7.7% of the FY 2023 city budget and is slated to climb to 8.9% of the FY 2026 budget. According to the state comptroller’s review of New York City’s FY 2023 budget, spending growth in 2022 and 2023 “is driven mainly by debt service and fringe benefit costs (other than pension contributions), such as health insurance.”[5]
Since the Covid-19 pandemic, the city has relied on one-time federal and state funding to pay for recurring operational costs. The Citizens Budget Commission found that, in 2021, at least $1.3 billion in federal aid went toward recurring programs, and $2.7 billion went toward potentially recurring programs such as housing vouchers and mental health services.6[6] Education spending was particularly prone to this practice; out of a total of $7.3 billion in federal pandemic relief funds for education between 2021 and 2025, the Independent Budget Office found that $3.2 billion would be spent on longer-term programs—such as three-year-old pre-K and special education—that require additional funding post-2025.[7] Yet when Mayor Adams and Schools Chancellor Banks attempted to reduce education spending in the FY 2023 budget, spreading out these limited federal funds over three years and gradually softening the impact on schools, a group of teachers’ unions and parent groups sued him, embroiling the city in a months-long legal battle in which the mayor emerged only partially victorious.[8]
The Issues: How City and State Laws Affect New York City’s Budget
State and local laws affect New York City’s budget in direct and indirect ways. These range from long-standing provisions of New York’s constitution, state law, and the city charter, to yearly changes in state funding enacted in the most recent state budget. Specific examples that substantially affect the city budget include the state’s funding to the city and laws governing public education, procurement, and public-sector employment.
State and City Funding Shares
Each year, just as the city council debates and ultimately compromises over the city budget, the New York State Legislature negotiates with the governor to pass the state budget, due by April 1, the start of the state fiscal year (though this deadline can be extended). This budget encompasses far more than fiscal matters and often contains provisions ranging from criminal justice to charter schools. City finances are already burdened by previous state budgets in a number of ways:
- New York requires counties to pay for a portion of Medicaid costs, up to a cap of $7.6 billion. For New York City, this mandate represents a $5.4 billion expense, or about 5% of the total budget.[9] Unsurprisingly, counties consistently object to this cost-sharing arrangement, in which they pay more than all other local jurisdictions in the nation combined.[10], [11]
- The FY 2015 state budget added a 10% cost share on New York City (and only the city) for the Emergency Assistance for Families program, and the FY 2019 budget introduced the same share for the Family Assistance program. These programs are part of the federal Temporary Assistance for Needy Families (TANF) block grant. Both programs’ city share increased to 15% in the FY 2020 budget.[12] This was estimated to cost the city approximately $34 million in FY 2020 and $68 million in FY 2021.
- The FY 2011 state budget required local jurisdictions to contribute 71% of the state’s Safety Net Assistance (SNA) program, which supports city shelters and provides temporary cash payments to needy individuals and families who no longer qualify for TANF because they have already reached its five-year time limit. Previously, local funds were split with the state 50-50. Governor Hochul’s proposed FY 2024 budget allots $767 million to cover the state’s 29% share; under a 50-50 split, the state would pay $1.32 billion.[13] State legislation also eliminated the 45-day waiting period for SNA benefits, effective as of October 1, 2022, further increasing city costs.[14]
- State funding to New York City schools varies from year to year. The FY 2020 state budget, for example, froze Foundation Aid, the main source of state funding to local schools that generally accounts for about 40% of school budgets.[15] The freeze meant that the city had to make up a $360 million shortfall from its January projection.
- The state’s share of probation funding has progressively crept lower, requiring the city to absorb an ever-greater share of costs. The city Department of Probation’s $124.97 million adopted FY 2022 budget, for example, comprised about $101.2 million of city funding (excluding intra-city transfers) and $14.8 million in state funding, or about a 6.8:1 ratio.[16] Compare that with FY 2009, when the department’s budget was $83.2 million, $60.4 million of which came from the city and $18.8 million from the state, or a 3.2:1 split.[17]
A number of taxes that exclusively or disproportionately affect city taxpayers also indirectly burden the city by limiting its ability to raise taxes further for local purposes. Since 1989, for example, the state’s mansion tax has imposed a flat 1.0% tax on buyers of homes over $1 million.[18] While inflation has eroded the value of that figure substantially since then, the tax threshold has not changed. As much of the state’s stock of high-value property is in New York City, its buyers have disproportionately borne the share of the mansion tax, especially as property values have risen dramatically over the past three decades. As part of the FY 2020 budget, the legislature increased the tax on homes $2 million and over in NYC, up to a maximum of 3.9% for homes $25 million and over, further increasing the tax burden on city taxpayers.[19]
Governor Hochul’s proposed FY 2024 budget, released on January 31, 2023, likewise proposes several other measures that would have billion-dollar impacts on future city budgets.[20] Though these are subject to change in the impending final budget, the governor’s proposals include:
- A $500 million direct city contribution to the Metropolitan Transportation Authority (MTA), as well as increased payments for paratransit and student fares and an increased payroll mobility tax. According to an Adams administration memorandum, the governor’s transportation-related proposals are expected to cost the city approximately $530 million.[21]
- State-based assistance to address the influx of migrants from across the southern border to New York City, capped at $1 billion over the period of April 2022 to August 2024. This cost represents about 29% of the city’s estimated expenses related to the migrant crisis.
- Removal of the cap limiting the number of charter schools that can operate in the city, allowing for dozens of charter-school openings. The city must provide funding and space for these schools, which would represent an approximately $1 billion impact on the city budget when fully implemented. The additional re-issuance of 21 charters to schools that have since closed would add another $200–$300 million in city costs annually. The proposed budget, however, would increase Foundation Aid funding by $2.7 billion, of which the city would receive approximately $320 million.[22]
- Ending the state’s pass-through of Enhanced Federal Medical Assistance Percentage (E-FMAP) funding to local jurisdictions, which defrays local Medicaid costs. The mayor’s office estimates that this will conservatively cost the city $343 million annually in FY 2024 and beyond but warns that this amount is subject to increase.
- In all, a March report by the Citizens Budget Commission found that Hochul’s proposed budget would increase the state’s structural deficits by $15 billion by FY 2027.[23] These large deficits pose particular risks for New York City, as they increase the chances that Albany will maintain or even raise personal income taxes and business taxes, which, when combined, already amount to the nation’s highest.[24] They also limit the amount of funding that Albany will be able to give to help bridge some of the city’s own budget gaps.
State law also affects how the city can treat budget surpluses and savings. In 2019, voters approved a charter amendment allowing for the creation of a “rainy day fund” to stabilize city finances during market downturns; the state legislature followed up the next year with legislation allowing budget surpluses to be deposited into a new “Revenue Stabilization Fund” (RSF).[25] Before then, the city saved money by rolling current-year surpluses into prepaid expenses for the following year. Though state legislation limits RSF withdrawals to 50% in any given year—barring the mayor’s declaration of a “compelling fiscal need”—there is no legal structure in place to make consistent deposits to the RSF or set a target savings amount.[26] Last year, the city comptroller’s office proposed an automatic deposit rule of 50% of the difference between current and six-year average growth of the city’s non-property-tax revenues. If implemented, this would have increased reserves by $2.5 billion; instead, the mayor and city council added $750 million to the RSF in the FY 2023 budget. The chancellor also proposed a savings target of 16% of total taxes deposited into the RSF, enough to stabilize tax revenue for the length of an average recession.[27]
State Education Requirements
State law imposes direct and indirect restrictions on the city’s ability to control education spending. One important and recent example of a direct measure is legislation enacted last year that lowers the maximum number of students allowed in each New York City public school classroom.[28] Currently, state law caps class sizes at 25 for kindergarten, 32 for grades one through six, 33 for most middle schools, and 34 for high school.[29] Beginning in September 2023, the caps will, over a five-year phase-in, be lowered for kindergarten through grade three, to 20; for grades four through eight, to 23; and for high school, to 25. The city estimates that this will cost $500 million to implement in grades kindergarten through five and $1 billion across all grades. This mandate comes in the wake of a dramatic drop in school enrollment over the past several years of some 100,000 students; 1,002,200 students were enrolled in the 2019 school year,[30] compared with 903,000 this year.[31]
Indirect measures include those related to the mayor’s control over New York City public schools. In 2002, the state legislature abolished the city’s 32 local school boards and centralized decision-making in the city Department of Education (DOE), under the direction of the mayor and schools chancellor.[32] Because state law requires that each school district be governed by an elected or appointed school board,[33] however, NYC retained its citywide school board. Reconfigured as the 15-member Panel for Educational Policy (PEP), it is responsible for providing a public forum on educational matters and for reviewing and ratifying decisions made by the schools chancellor and the mayor in monthly public meetings. In 2022, the state legislature expanded PEP to 23 members, most of whom the mayor and borough presidents appoint, and curtailed the mayor’s ability to remove his appointees for voting against his wishes.[34]
Though state law expressly disavows any executive or administrative power for PEP,[35] it must conduct a 45-day public-input process, hold a public meeting, and approve an estimate of the upcoming fiscal year’s education budget.[36] Historically, DOE provided PEP with a high-level estimate that did not contain figures for individual schools, and the chancellor issued an emergency declaration that had the effect of granting provisional PEP approval so that the city budget could be approved before its hard July 1 deadline.[37]
Last year, following a lawsuit by a group of teachers’ unions and parent groups against cuts to school budgets in the FY 2023 city budget, a state appellate court held that PEP must approve the estimate before the mayor and city council pass the citywide budget. Going forward, PEP budget estimate votes will have teeth, especially now that the mayor will be unable to remove appointees at will. The mayor’s preliminary FY 2024 budget calls for a $337 million reduction in DOE spending, compared with FY 2023.[38] On March 22, months ahead of the July 1 city budget deadline, the newly empowered PEP voted to approve the mayor’s estimated funding.[39]
As this lawsuit demonstrated, stakeholders, especially city councilmembers and municipal unions, have come to expect—and will fight to retain—the level of service provision and spending made possible through these one-time revenues. Yet there is no guarantee that Washington or Albany will continue to provide them, especially between administrations, or that such spending is warranted or sustainable for the city in the long term.
Labor Agreements and Costs
New York City and State have long been among the most union-friendly jurisdictions in the United States. In 1958, Mayor Robert Wagner, Jr. issued Executive Order 49, granting city employees the right to collective bargaining and authorizing unions to speak for city workers—even for workers who are not members.[40] This was extended statewide through the 1967 Public Employees’ Fair Employment Act, often known as the Taylor Law, which outlawed public-sector worker strikes in exchange for the right to collectively bargain.[41] The Taylor Law contains a provision allowing some local laws to displace its terms, provided that the local laws are “substantially equivalent” to the state law’s “provisions and procedures.”[42] Also in 1967, NYC passed a law to that effect, known as the Collective Bargaining Law, to exercise this local option.
In 1982, in what became known as the Triborough Amendment, the state legislature amended the Taylor Law to require that the terms of a collective bargaining agreement (CBA) continue past expiration—including incremental pay raises—regardless of the government’s fiscal condition.[43] Unions therefore have little incentive to change outdated contract provisions, especially if the city’s fiscal health would warrant terms that are the same as or less generous than the terms under the expired agreement.[44] This is especially costly for teachers’ salaries, as teachers earn annual raises through “salary steps” that remain even under an expired contract.[45]
To cover the diverse assemblage of the 281,000 workers on its payroll, the city negotiates with approximately 150 distinct collective bargaining units, ranging from police officers to welders to microbiologists. These agreements cover wages, salaries, work rules, fringe benefits, and conditions of employment but not pensions or health insurance. While salaries and wages directly affect the city’s bottom line, work rules often limit employee productivity and make it difficult—if not impossible—for managers to reward or discipline employees based on achieving results.[46] This, in turn, requires the city to hire more employees, thus having a negative impact on the city’s labor costs.
Agreements covering police officers and firefighters further require that impasses be resolved by a three-member panel of unelected arbitrators who have the power to impose binding decisions on the city. This “interest arbitration” has the effect of raising uniformed labor costs by encouraging elected officials to settle on terms that might be disadvantageous for taxpayers, out of fear of an even worse arbitration decision.[47] Government officials have a strong incentive to avoid political pressure by disagreeing with the union and allowing the arbitrator to decide.[48]
Government-employee pensions are governed by state law, not by CBAs. Absent lobbying lawmakers in Albany, there is little that city officials can do on their own to affect the size of the city’s pension liabilities. The city can, however, take indirect steps to rein in pension costs, such as by not awarding discretionary raises and overtime pay, or by waiting to hire new workers until a new pension regime takes effect. And because of the great political pressures not to reduce pension benefits for newly hired workers, pension-related legislative changes are among the most difficult to achieve.
Some state laws provide specific benefits to certain classes of municipal employees. In 1988, the state legislature enacted a law adding an option to New York City teachers’ deferred compensation retirement plan that guaranteed an 8.25% rate of return, regardless of market conditions, which was lowered to 7.0% in 2009.[49] When enacted, the interest rate was generally in line with bond returns; but for most of the following 35 years, it was marked by declining or even zero interest rates, and the city’s general fund had to make up the difference.[50] In 2014 and 2015, this benefit cost city taxpayers $1.1 and $1.2 billion, respectively.[51] Fewer than 6% of retirees actually drew from the account, opting instead to allow the funds to grow, strong evidence that the perk proved too rich.
New York City’s employee and retiree health benefits are uniquely generous among any employer, public or private. Like pensions, these are not controlled by CBAs negotiated with each bargaining unit but are determined by the Municipal Labor Committee, a body recognized in city law[52] that represents a group of more than 100 municipal-worker unions comprising about 400,000 active and retired workers.[53] But in contrast to pensions, in which current employees pay into a substantial pool of assets that generate investment income to partially defray payments to current retirees, the city simply pays the annual health-care premiums for employees and retirees out of general revenues as they come due each year, a funding mechanism known as pay-as-you-go, or PAYGO.[54] The city’s adopted FY 2023 budget allocates $8.1 billion for these PAYGO costs.[55]
Further, New York City does not require municipal employees to pay for any portion of their health-insurance premium. For those who work for at least 10 years, or teachers who work for 15 years, the city provides lifetime comprehensive medical and hospital insurance, even for those workers who retired before being eligible for Medicare.[56] Upon reaching Medicare eligibility, the city reimburses retirees and their spouses for their entire Part B premiums.[57] Union leaders admit that this arrangement has come at the cost of lower wages, but unions have always responded to attempts to introduce health-premium cost-sharing with outright rejection.[58] Lawsuits delayed the city’s attempt, backed by labor leaders, to move about 250,000 municipal retirees and their dependents onto a Medicare Advantage program, but the city ultimately secured a vote from the Municipal Labor Committee that will allow the change to take effect in September 2023.[59]
These generous benefits represent a large and growing strain on city budgets. The city comptroller puts the cost of health insurance and fringe benefits for FY 2023 at $8.1 and $4.5 billion, respectively,[60] but these are expected to grow to $10.5 and $4.9 billion by FY 2026.[61] A 2017 Citizens Budget Commission report calculated that the future post-employment benefits accrued by current employees in FY 2017 totaled approximately $4.9 billion, or $13,111 per employee.[62] But the city paid out only about $2.5 billion that year for current retirees’ other post-employment benefits; ballooning pay-as-you-go costs thus represent a looming threat to the city’s future fiscal health.[63]
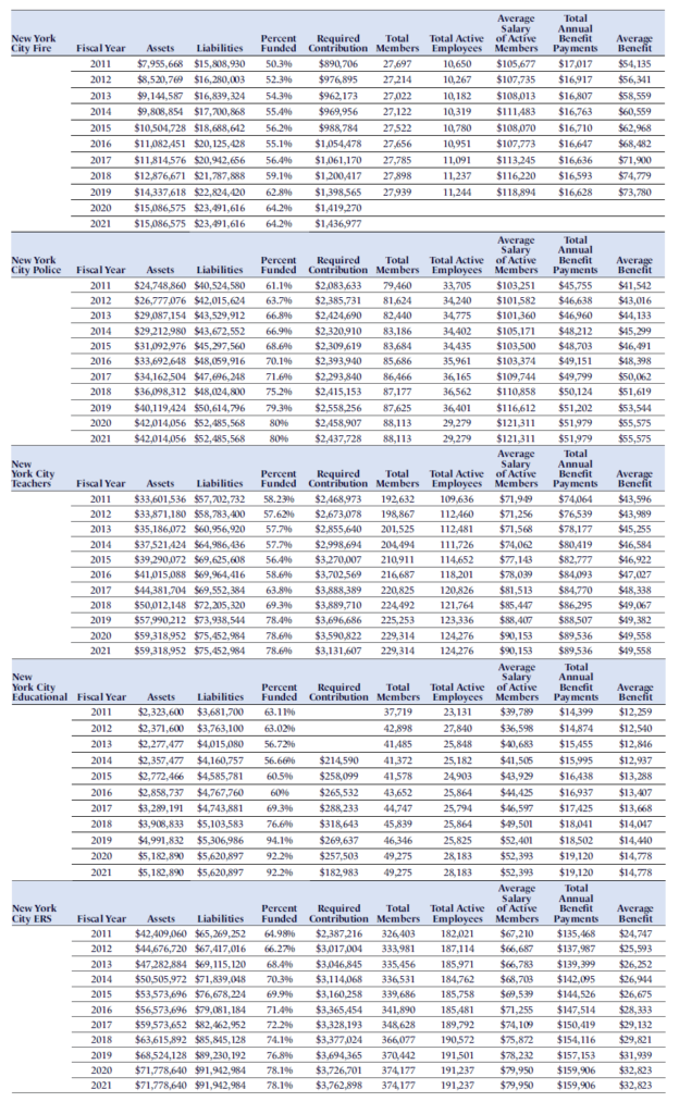
Public pensions in New York are guaranteed by several provisions of law. The state constitution expressly provides that public pension plans establish a contractual relationship between the state and participating employees, the benefits of which cannot be diminished or impaired.[64] Treating pensions in this contractual way also allows the Contracts Clause of the U.S. Constitution to prohibit the state from impairing pension obligations.[65] And New York courts have interpreted pension plans as a property interest, further insulating them from diminishment by the Due Process Clause of the Fourteenth Amendment.
In short, New York City must ensure that it meets its pension obligations, which represent a major component of the city’s expense budget. Contributions to the city’s five pension funds, covering civil employees, police, firefighters, teachers, and school administrators, amounted to $9.4 billion in FY 2023. These contributions depend partly on the amount that the market returns in a given year, so market downturns can require the city to adjust its budget higher in the latter months of its fiscal year to account for higher pension contributions. This occurred in November 2022, when Mayor Adams announced his first mid-November financial update to the FY 2023 adopted budget, in which he added more to projected city pension contributions: $861 million in FY 2024 budget, $1.97 billion in FY 2025, and $3.02 billion in FY 2026.[66]
Zooming out, it’s not surprising, therefore, that personnel costs make up more than half the city’s budget. According to the city comptroller’s December 2022 financial report, salaries, pensions, and fringe benefits accounted for $53.4 billion out of a total of $104 billion in expenses, or approximately 51.3%. These figures are likely to climb higher, as the city reaches contract deals with remaining bargaining units.
Procurement and Capital Projects
Despite its massive workforce, the city cannot produce all the goods and services that it provides; it must, of course, procure goods and services from third parties, ranging from ink pens to homeless shelter services. In FY 2021, the city conducted more than 95,000 transactions, worth about $30.4 billion.[67] The procurement process thus has a major impact on the city budget and the effective provision of services, many of which take place through a vast network of third-party nonprofit providers. But procurement contracts vary widely in their budgetary impact. Procurements for under $1 million account for 90% of the total number of transactions but less than 5% of the total dollar value, whereas those for $3 million or more represent over 90% of dollar value.[68]
These large procurements are particularly important for the city’s one-year capital budget. This covers physical infrastructure (used for government operations or public use) whose debt service affects the city’s expense budget. Furthermore, the 138-year-old state Scaffold Law imposes absolute liability on property owners and contractors for any gravity-related job-site falls, regardless of employee fault—the only such liability regime in the United States. This burdens the costs of large publicly funded construction projects. Not only does the law contribute to nation-leading construction insurance premiums,[69] but the inability to defend a lawsuit on comparative negligence grounds has driven most insurers from the marketplace, hampering a competitive insurance market that can deliver lower prices. One estimate blamed the Scaffold Law for a 7% increase in affordable housing and other development costs.[70] The MTA’s newly completed East Side Access tunnel project, for example, originally budgeted $93 million for insurance in 2001; by 2018, the cost had risen to $584 million.[71]
New York State law further requires that all government contractors pay construction workers on public worksites at the so-called prevailing wage, which the state defines as that earned by at least 30% of workers in a particular trade—in other words, a union wage. For example, the prevailing city wage is currently $63.03 per hour for a tile layer[72] and $55.10 per hour for a drywall taper,[73] with at least time-and-a-half pay for any time after a seven-hour day, weekends, and holidays. These wages are considerably higher than the private-market wage for the same skills. According to the U.S. Bureau of Labor Statistics, the median pay of a tile layer in 2022 is $22.74 per hour,[74] and $23.24 per hour for a drywall installer.[75] Even after considering New York City’s high cost of living, these differences are stark.
Traditionally, city agencies were required by state law to deliver capital projects using a “design-bid-build” process, in which the city first fully scoped and designed a project, and then selected contractors who had no part in the design to see the project to completion. State law requires that the agency select the lowest “responsible and responsive” bidder on competitive capital projects.[76] While this may sound like a money-saving directive, it has often wound up costing the public more over the course of a project, as some contractors with shoddy or nonexistent track records win a bid and yet underperform or dispute the contract, holding up the project or necessitating costly change orders. Other contractors may then sue the city successfully for damages caused by the delay; lawsuits between designers and construction companies are not uncommon.[77] The involvement of several city agencies can further lead to one agency’s priorities superseding project progress.
Other than the requirement that the bidder be “responsible,” the city cannot reject the lowest bidder and award the contract to another that it believes would provide better performance; price is the determinative factor.[78] Nor can the city enter into post-bid negotiations with losing bidders.[79] Its only option to reject a bidder is to reject all bids and solicit another round of bids for a rational purpose, such as additional project specifications.[80] These requirements ultimately reduce the quantity of public goods available; with the cost of a new public restroom in city parks now between $5 and $10 million,[81] it’s little wonder why more parks don’t contain facilities.
The risks associated with the lowest bidder directive are further compounded by the century-old state Wicks Law, which requires that city agencies obtain separate bids for general contracting, electrical, plumbing, and HVAC contracts in public projects exceeding $3 million.[82] New York is the only state to impose this requirement. Unless exempted, city agencies thus cannot utilize a “design-build” project delivery mechanism, which secures a single general contractor who then hires and coordinates subcontractors until the project is completed. Instead, the procuring agency must award up to four separate contracts and subsequently coordinate the project and all its various parties, even if they are unlikely to have had previous dealings. And because each of the four separate contractors must depend on one another to complete their respective portions of the project in sequence, a failure by any one of the four, or of the city agency to coordinate them in an effective manner, often leads to delays and costs well above the original contract amount. For these reasons, in late 2019, Governor Cuomo signed legislation that exempted seven city agencies from the design-bid-build process, in addition to the six agencies to which the requirement did not previously apply.[83]
That said, there are reasonable arguments in favor of retaining the current design-bid-build arrangement. The most important is the potential for higher design quality and greater control over the construction process for projects where design is a critical element. But allowing the city greater leeway to select contractors on the basis of value—which includes both performance and cost—would enable better project management and prevent delays and cost overruns.
Even if design-bid-build is retained for some city agencies, there is far less reason to support several separate agencies holding up projects to suit their own departmental needs and processes. Because several agencies are typically involved in large capital construction projects, each with its own mandates, incentives, and even payment processes, it can often be difficult for each to place the good of the project ahead of specific departmental needs. When one of these departments declines to proceed with one aspect of a project, work grinds to a halt.
Two pre-project compliance requirements further delay projects by months or even years. First, the city’s Office of Management and Budget (OMB) must review a project’s eligibility for capital funding and provide a “certificate to proceed.”[84] Second, the city comptroller’s office must subsequently “register” these certificates to proceed, in which it assigns the contract as a commitment for a given fiscal year, whether or not all actual spending will occur in that fiscal year.[85] Each budget modification triggers a fresh round of reviews and approvals. Both of these agencies usually have 30 days to conduct these reviews and provide approvals, but if either submits a question to the sponsoring agency, the 30-day clock resets, leading to months-long delays and thousands of hours spent gathering the information necessary to respond to these (often highly technical) questions.[86]
As the NYU Marron Institute’s recent Transit Costs Project Report notes, to build the Second Avenue Subway, the MTA (a state agency, but helpful for illustrative purposes) had to secure separate agreements from five different city agencies, utility companies, and others before proceeding with construction; these arrangements cost $250–$300 million, exclusive of the costs associated with delays that contractors incurred and claimed against the city.[87] Describing the dynamic that characterizes many public projects, the authors write that “satisfying every third party who has the ability to withhold a permit or slow down construction came at a cost.”[88]
Recommendations
There are important measures that city leaders could take to address fiscal problems within existing legal strictures, provided that sufficient political will exists. For example, despite the political headwinds that would accompany this move, the mayor could adopt a policy that time-limited federal and state funding will not be used for longer-term, recurring programs. This would achieve three goals. First, it would signal to stakeholders that the programs funded by time-limited relief will not persist after the funding period, thus setting expectations. Second, and consequently, it would likely reduce out-year budget gaps and the chances of potential fiscal cliffs. Third, it would require the mayor and councilmembers to make trade-offs about the recurring programs that should receive continued support and that should be cut back to ensure a balanced budget. Doing so would reduce the pressure to find $1 billion in FY 2026 to fund programs currently funded by federal pandemic dollars, according to a February 2022 state comptroller report.
Reforming the city’s project management and procurement practices can significantly lower costs and shorten project durations. In January 2023, the mayor announced a suite of proposed reforms to the public construction process.[89] These include state-level legislative proposals, such as allowing public agencies to use design-build processes, as well as local-level reforms such as streamlining change orders so as not to delay the entire project for extended periods of time. Specifically, Adams would like to expand a 2019 pilot called Expanded Work Allowance, which gives contractors access to a dedicated pool of money to continue work, despite change orders for parts of a project.[90] And Adams would do well to shorten the period necessary to obtain OMB capital eligibility approval and city comptroller registration before a project begins. One way to do this is to keep the initial 30-day project approval window in place (while allowing the initial steps in both to proceed in parallel), but require that approval or denial of good-faith budget modifications and question responses be resolved in five to seven days. According to a 2021 study by the Center for an Urban Future, reforming the capital construction process could save at least $800 million over five years.[91]
The mayor might also consider assigning a dedicated multiagency team to large capital projects, which would be tasked with seeing through projects from start to completion and would be given team-wide incentives to streamline approvals and achieve results. Backed by the mayor’s political clout, this team could be empowered to override ordinary processes and chains of command. Placing these officials on the same team would facilitate faster resolutions of problems, allow contractors to deal with one collective authority, as opposed to each individual agency, and reduce the chance that team members will place the good of their respective agencies over the good of the project. Streamlining project decision-making would likely shorten project times by months, if not years.
The mayor should carefully scrutinize his appointments to bodies that have an impact on the budget, such as his selections on PEP. Given the for-cause protections now in place for panel members and its now-mandatory approval before the city council passes the final city budget, the best way for the mayor to minimize the possibility that PEP will withhold its approval is to select members who will remain committed to his agenda. Given PEP’s approval of the FY 2024 education funding estimate three months ahead of the city budget deadline (largely thanks to the votes from mayoral appointees), Adams has thus far largely avoided another PEP-related pitfall.
And though it may seem politically counterintuitive for city leaders to tie their hands on spending, Adams should seek to implement the automatic, rule-based deposits into the city’s Revenue Stabilization Fund that the city chancellor’s office called for last year.[92] Bolstering deposits in strong tax revenue years can substantially lower the risks of out-year budget gaps, service cuts, and local tax hikes during periods of economic uncertainty. Automatic deposits would also signal to the city council and other stakeholders that earmarked deposits are off-limits and cannot be allocated for their preferred spending proposals, thus using local law to build structural fiscal discipline.
That said, it is important to be clear-eyed about the prospects for legislative reform. Over the past decade, the state legislature’s political composition has made it less amenable to reforming the prevailing wage requirement, Wicks Law, city worker pensions, public contracting, or government procurement. Indeed, last year’s expansion of the Panel for Educational Policy and protection for members who vote against the mayor’s wishes signal that the legislature may be laying the groundwork to weaken or even terminate mayoral control in favor of reestablished local school boards.
And some elements that are within the city’s control, such as CBAs for wages and work rules, have essentially become part of city government’s operating structure. Serious attempts to reform the deficiencies found in CBAs, such as conditions of employment that dampen and disincentivize productivity, represent longer-term reform projects. That is partly the result of city politics and partly due to the state Triborough Amendment, which perpetuates the terms of an expired CBA.
Conclusion
Some of the most important budget issues facing New York City will be presented in this report. While it contains helpful recommendations for lawmakers and the Adams administration, it’s necessary to remember the legal strictures that affect the city budget’s flexibility. Navigating the political considerations on the way to reform requires an appreciation of existing arrangements and expectations.
Some reforms face political hurdles, such as changing New York State’s public-sector union laws. Other issues, like the amount of funding that the state sends the city, or the city-state cost-sharing arrangements, are out of the city’s control.
But that doesn’t mean that the city cannot take meaningful and prudent steps to get its budget in order, as this report proves. Careful selection of those who serve as the mayor’s appointees on public boards, better project management and faster approvals for large capital projects, automatic deposits to the rainy day fund, and responsible budgeting of time-limited relief funds are just some of the ways that Mayor Adams can help lead the city to fiscal stability and cement an enduring legacy of fiscal responsibility.
Education Funding in New York City
Ray Domanico
Director, Education Policy; Senior Fellow, Manhattan Institute
The Context
The New York City Department of Education (DOE) occupies an outsize portion of the city’s overall budget. Its $31.1 billion budget is the largest of any city agency.[93] Further, an additional roughly $5.8 billion attributable to DOE is budgeted in city overhead agencies for fringe benefits, pension costs, and debt service.[94] Adding this amount to DOE’s budget indicates that 35.9% of the city’s overall budget is driven by DOE.[95] The most recent available data, from fiscal year 2022, indicate that 46% of the city’s employees are in the department.[96] There is no path to fiscal stability that does not pass through DOE.
Four educational issues will affect the city’s future financial health and the quality of its schools. Whether these impacts are positive or negative will be determined by the extent to which Mayor Adams is able to respond to them responsibly and hold back the worst instincts of many city councilmembers. These issues are:
- Declining school enrollment, particularly in the early grades. Meanwhile, student demographics are changing.
- Temporary pandemic-related federal aid—used by DOE to pay for ongoing program expansion—is running out. City and state funding must replace the aid, or else programs will have to be scaled back.
- Expensive and uneven educational programming for students with special needs. Significant numbers of students are not receiving their full complement of mandated services, and overall academic performance of students with special needs remains low.
- DOE’s union contracts are up for renewal. The teachers’ contract is a large determinant of the city’s overall labor spending.The city must beable to negotiate flexibility in staffing due to enrollment declines.
Overview of the Department of Education’s Budget
Schooling is a labor-intensive proposition. The Department of Education houses 46% of the city’s headcount, and that percentage has grown (Figure 1). Total staffing at DOE grew by more than 10,000 positions, or 7.8%, between 2013 and 2022, when student enrollment decreased by 143,000, almost 15%.[97]
Reflecting the size of DOE’s staff, its pension obligation is huge—over $3.2 billion in 2022, almost 29% of its covered payroll.[98]
Figure 1.
Number of Full-Time Employees in DOE, Compared with Rest of NYC Government

Political Strife amid Reduced Enrollment
The desire to maintain current staffing levels and unused school-building space is the defining issue of educational budget politics in New York City and State. These issues are elaborated on below but are worth mentioning here.
Both the city council and the state legislature are under Democratic control, with progressives in leadership positions. Democrats Mayor Adams and Governor Hochul were elected on more moderate platforms. Both city- and state-level legislators have attempted to limit their executives’ ability to respond to the new reality of lower school enrollment. For instance, the legislature recently mandated lower class sizes in the city and opposes the governor’s modest proposal to remove the geographic limits on charter schools (without changing the cap on the overall number).[99] Also, earlier this year, the city council pressured the mayor to hold individual school budgets harmless for lower enrollment levels.[100]
The political priority of both the city and state legislative bodies is to maintain employment levels in the school system despite plummeting enrollment. This will strain the city’s overall fiscal picture and create inequities within the school system, as lower school sizes will create higher per-pupil spending in schools losing enrollment, at the expense of those schools maintaining enrollment. Further, it will do nothing to alleviate the march of families out of New York State.
Interpreting the Budget and Its Growth
DOE’s budget is constantly growing. In the last 10 years, it has grown by over $12 billion—a higher growth rate (63.7%) than the total city budget (49.1%).[101] Almost $8 billion of that growth occurred in former mayor Bill de Blasio’s last budgets, 2018–22. The current-year DOE budget, Adams’s first, shows a small decline of $231 million from the previous year (Table 1).
Table 1.
NYC DOE’s Share of General Fund Expenditures and Other Financing
($thousands)

There is some confusion about the size of DOE’s budget. One cannot take the gross budget amount of $31 billion divided by 819,000 students in DOE schools (during the 2021–22 school year)[102] to arrive at an estimate of about $38,000 per pupil. As described above, certain public education costs are reported outside the agency budget; but some of DOE’s budget is used to support charter schools, private providers of preschool for three- and four-year-olds, and private schools that serve students with special needs at public cost. A small amount of federal and state funding for private schools also flows through DOE’s budget.[103] The current DOE budget includes at least $6 billion for these private schools and providers, with charter schools accounting for almost half that amount.[104] This “pass-through” money accounts for over 16% of DOE’s fully loaded budget (Table 2).
Table 2.
“Pass-Through” Money in DOE’s Budget, FY 2023 (as of January)

DOE’s budget can also be looked at in terms of broad program areas. As Table 3 shows, spending patterns between FY 2018 and the mayor’s preliminary budget for 2024 (next fiscal year) vary widely.[105]
Allocations for general education (non–special needs) have remained relatively stable since 2018, while spending on programs for students with special needs has grown by over 30%.[106] Reflecting enrollment growth, the “pass-through” amount to charter schools has grown by close to 54%. Mayor de Blasio’s prekindergarten and early childhood programs have more than doubled in cost as they have been expanded.
The growth in federal and state funding is largely explained by the influx of Covid relief funds. The fringe benefits included in DOE’s budget are only for those employees covered by these federal funding streams, and they have grown by over 30%.[107]
The change in spending for Central Administration is somewhat explained by the reclassification of certain functional areas in the budget.
Overall, the Adams administration is proposing a DOE budget of $30.7 billion for the coming year (2023–24).[108] This is a decrease of 1% over the current year and remains subject to negotiation with the city council.
Table 3.
Program Allocation of DOE Budget, FY 2018–FY 2024 (preliminary)
($thousands)

The Issues
Enrollment Decline and Excess Capacity
Ongoing enrollment declines pose the biggest challenge to DOE’s budget. Lower birthrates in the city, outmigration from the city by families, and flight to charter and private schools indicate that the decline in school enrollment will continue.[109]
Despite this, the teachers’ union and their legislative allies have pushed to maintain or even grow school funding, as well as maintain the teaching force at pre-enrollment-decline levels.[110] With the pandemic, individual school budgets were held harmless for enrollment declines during the last two years of the de Blasio administration. As mentioned earlier, in late 2022, the city council pressured the Adams administration to continue that practice, despite schools reopening.[111]
Last year, the state legislature tied increases in state education aid to an across-the-board reduction in class sizes in the city.[112] A city analysis recently found that this mandate will require 7,000 additional teachers and that prioritizing a reduction in class size will lead to diminution of other services.[113] It estimates the overall cost of reducing class sizes to be $1 billion.[114]
The legislature is also reluctant to adopt Governor Hochul’s plan to raise the cap on the number of charter schools in the city. This can be viewed as part of this political protection for the teachers’ union and its members, as drift away from district schools to new charters would increase the need to cut back on the number of union-member teachers in DOE.[115]
Overall, enrollment in grades K–12 in DOE schools is down by 159,661 students in the last 10 years, a drop of 16.6% (Table 4).[116] Charter school enrollment has grown by 68,473 in those same years. Lower birthrates in the city mean that the decline in enrollment is more dramatic in the early grades, and enrollment in DOE kindergarten classes is down by 27% in the last 10 years.[117] The lower kindergarten cohort sizes, which began in 2016–17, are now rippling through the elementary schools. In fact, K–5 enrollment in 2022–23 is 23.5% lower than in 2013–14; that is a loss of more than 103,000 students.[118]
Table 4.
Enrollment in NYC DOE and Charter Schools, 2013–23

Over the last 10 years, combined enrollment in DOE and charter schools declined by 8.8%, but DOE’s budget, which includes charter school funding, increased by over $12 billion, or 63.7% (see Table 1).[119] Fiscal year 2014 was the first year that the city accounted for charter school costs in the way that it now does. In the nine years since the 2013–14 school year, charter school costs increased by 164%,[120] and enrollment increased by nearly 96% (see Table 4).[121] Removing the funds spent on charters from DOE’s budget indicates that non-charter costs increased by 62% while non-charter enrollment decreased by 16.6%.
Racial and Ethnic Differences
The enrollment declines are not uniform across the city’s racial and ethnic groupings. In the 10 years between 2013–14 and 2022–23, the number of black students in grades K–12 fell by 93,595, or 37.2%.[122] Some of that reflects growth in black enrollment in charter schools of 25,360, but the bulk of it is due to lower birthrates and outmigration of black families from the city.[123]
The number of Hispanic students in DOE schools has also declined, but this cohort gained one percentage point as a share of the overall student population (now 41.7%).[124] Asian and white students have also declined in numbers, but at much lower rates, 5% and 14.5%, respectively, than the black student population. As with the general enrollment trends, these figures look starker in the early grades. In 2013–14, 23.2% of all students in grades K–5 were black; today, their share is 17.3%. In raw numbers, there are now 8,700 more Asian than black students in grades K–5. White students in those grades outnumber black students by 797.
While not directly affecting the budget of DOE, these demographic shifts may well alter the politics of education in the city. For decades, DOE has tried to close the achievement gap between black students and other students. The charter schools created as part of this effort are an example of success. In the de Blasio years, efforts to racially integrate schools by curtailing the use of some academic screening caused consternation among vocal white and Asian parents.[125] That effort continues. For instance, the superintendent of District 2 in Manhattan, home to many Asian and white families, chosen to end middle school screening, against the strong wishes of his elected Community Education Council.[126]
Vanishing Covid Aid
In the last three school years, the city has been using federal Covid aid to support school programs. Per IBO testimony, the budgets for FY 2023 through FY 2025 include $3.7 billion of this aid, which will phase out over time.[127] IBO further estimates that after FY 2025, $1.1 billion per year would be required to maintain programs that were established or expanded with the use of the temporary Covid funds. The Adams administration has indicated that it may end the expansion of the city’s prekindergarten program for three-year-old students, which accounts for $393 million of the $1.1 billion.[128] Assuming that the administration is successful at scaling back the pre-K expansion, it will soon still need to find $800 million per year to fill the gap caused by the loss of Covid funding.
Labor Costs and Contracts
The city’s labor agreement with the United Federation of Teachers (UFT) expired in September 2022 and needs to be negotiated. UFT represents more than 75,000 DOE teachers and 25,000 paraprofessionals, as well as other pedagogic employees.[129] Mayor de Blasio’s 2014 contract with UFT has an estimated cost of $5.5 billion over nine years.[130] The 2018 contract, also negotiated by the de Blasio administration, has an estimated cost of $2.1 billion over three years.[131] Uncertainty over the cost of the next contract agreement will hang over budget negotiations between the administration and the council.
Recommendations
There are few easy answers here, but if the city is to maintain its population base, it is going to have to respond to the current reality and to the clear wishes of many parents. That necessarily involves an institutional appreciation for the public benefits that district, charter, and private or parochial schools provide, each in different but complementary ways. Better district schools can coexist alongside more charter schools. High-performing and selective middle and high schools can provide an accelerated learning experience for gifted students without depriving students in other schools of a sound basic education. Other responses include indirect measures like safer streets, including a return to pre-2020 public-safety levels for students walking to and from school.
Improve Building Utilization
Decreased enrollment also means that DOE school buildings are not being used in the most efficient way, particularly because of the de Blasio administration’s resistance to placing new or expanding charter schools in vacant space in DOE buildings.[132] Overall utilization of space designated for DOE programs, not including self-contained special-education programs or charter schools, decreased from 96% in 2015 to 83% in 2022.[133] The citywide figures mask differences across the boroughs (Figure 2). In 2015, Staten Island and Queens were over full utilization; and in 2022, they were at or near full utilization. The other three boroughs saw significant drops in utilization, with each now between 76% and 78% utilization. Meanwhile, the city spends $123 million annually to pay for private leases for charter schools.[134]
Figure 2.
NYC DOE Building Utilization Rates by Borough, 2015 and 2022

Enrollment decline has also exacerbated disparities in the size of local districts. DOE has 32 local community school districts, each with a superintendent, office staff, and elected Community Education Council.[135] The smallest seven districts have average enrollments of 5,537; the remaining 25 average 18,689.[136] Consolidating districts or changing boundaries may require an act of the legislature, as current law contains provisions limiting the city’s ability to change the number of districts in each borough and contains specific prohibitions against moving the boundaries of two specific districts.[137] Still, the small number of students in some districts requires attention for reasons of educational quality and cost-efficiency.
Special-Education Cost and Quality
Beyond the general financial and educational challenges presented by the enrollment declines and the labor contracts, two large program areas should be given serious and outside-the-box attention: how to address the systemic and expensive shortcomings in DOE’s programs for students with special needs; and the ongoing need to address the learning losses that occurred due to reduced opportunities for live instruction during the pandemic.
There are inconsistencies in DOE data on the number of youth classified as students with special needs (Students with Disabilities, or SWD), but the estimates center on 193,000 students (or 20.6% to 20.9% overall).[138] Total costs are also somewhat opaque. The 2022 edition of the New York State Funding Transparency Form, submitted by the city’s DOE, documents school-by-school spending amounts for all students. It calculates per-pupil costs for students without special needs at $13,551; and those with special needs at $33,632, or 248% of the figure for general education.[139] A higher ratio is reported in the 2018 School Based Expenditure Report (the last published) of DOE, which included all DOE funds, including those maintained in central accounts and the overhead costs of individual schools.[140] That report found that students with special needs (in full-time special programs) received services valued at $60,407, or 290% more than students without special needs, who received $20,699.
Nevertheless, special-education services are expensive business in the city’s public schools.
Data on the academic performance of students with special needs are not encouraging. State test results for the 2021–22 school year indicate that only 18.3% of students with disabilities scored at proficient or above in English language arts and 14.4% did so in mathematics (compared with 57.6% and 44.5%, respectively, of non-SWD students).[141] Almost half of students with disabilities scored at the lowest level on the ELA test, and two-thirds did so in mathematics.
The ongoing problems with the city’s special-education program led the city council to require a regular report from DOE on the percentage of SWD who actually receive the services to which they are legally entitled by their Individualized Education Plan.[142] These reports were negative at first, but noted that some of the problems could be due to the lack of complete data.[143] DOE’s data system was not able to accurately identify whether students were receiving their service. The latest report, from autumn 2021, found that only 76% of SWD received their full complement of mandated services in the reporting period; 4% received none of their required services.[144]
The problem is particularly acute with bilingual students with special needs, two-thirds of whom are not receiving their full complement of mandated services.[145] DOE must be able to meet the requirements of a child’s Individualized Education Plan if it intends to reach its goal of reducing the amount spent on “Carter Cases”—court-ordered funds that the city must pay for private school tuition when parents successfully argue that DOE cannot meet their child’s needs. Expenditures on “Carter Cases” regularly exceed the budgeted amount ($446 million budgeted for 2023).[146]
Conclusion
With a budget that totals over a third of the city’s whole, every path to fiscal stability must pass through DOE. In an era of sharply declining enrollment, the Adams administration must find ways to increase the appeal of city public schools for parents. That not only means providing a better-quality education—especially in poorly performing schools and despite the headwinds coming from the city’s powerful teachers’ union—but it also means responding to what parents want, including by addressing learning losses associated with the loss of in-person instruction during the pandemic. Otherwise, it can expect a continued exodus from traditional public schools.
As the administration begins to prepare for smaller class sizes and the costs that accompany them, it should look to create efficiencies by utilizing public school space more efficiently, especially for the new charter schools. The administration should also petition the state legislature to combine local districts to reduce administrative overhead and more closely equalize district sizes. Finally, DOE must do better to educate students with special needs—not only to improve the students’ futures but to save on the hundreds of millions of dollars in private school tuitions that it must pay when public education fails to meet the required standard.
New York City’s Policing Budget
Hannah E. Meyers
Director, Policing & Public Safety; Fellow, Manhattan Institute
The Context
There is perhaps no urban budget issue in the past few years as politically charged as police funding. In New York, as elsewhere, a narrative has gained political prominence over the past few years that police are intrinsically racist and that they are not critical to providing public safety or community stability and order. As in numerous American cities, this has resulted in a decrease in officer funding—in particular, relative to increases in the overall city budget—and a simultaneous investment in “community programs” that do not involve police or that do so only peripherally. The rationale behind these changes has emphasized improving the safety and lives of New York’s black residents and communities, with the implication that this is best done with minimal police participation.
But these funding decisions are not best suited to achieve these aims, as they do not mesh with the realities of crime and community dynamics, which require concrete police involvement. At the same time, a raft of criminal-justice reforms has hobbled prosecution and incarceration, putting an extra onus on police to keep crime at bay through arrests as well as deterrence.
These factors have contributed to a startling increase in crime—one that has disproportionately harmed black New Yorkers. Since debates ahead of this spring’s statewide budget include few promising proposals for policy shifts that will return greater efficacy to the courts, it is doubly necessary to maintain a well-funded police force that has sufficient manpower. This has been borne out by the recent successes of the increased funding toward police units that target gun violence and subway crime. In terms of stability and crime reduction, these units provide more benefit to the city than many of the criminal-justice alternatives to which funding has increasingly been poured.
Finally, greater investments in NYPD and its patrol-focused spending can help stanch a concerning outflow of qualified officers and attract higher-caliber recruits. These investments could also facilitate putting more resources toward training officers in respectful community engagement, which has been shown to help reduce crime and significantly improve community relations.
NYPD Budget Now and Historically
NYPD’s budget rose in fairly steady increments from 1980 through 2020, but relative to the entire city budget, policing investment fell.[147] As Nicole Gelinas writes in her Manhattan Institute paper on NYPD’s budget history, the city’s policing operational budget had fallen from 5.2% of the overall city budget in 1980 to 4.9% by 2022.[148] The police budget has also fallen relative to other city uniformed agencies, which, all told, have remained at about 11% for the past four decades. In that same period, by contrast, the share of the city’s budget devoted to education has grown from 22.5% to 29.6%—a 31% growth in share.[149] The Department of Education now dwarfs NYPD, with a budget roughly six times as large.[150]
NYPD is facing serious staffing issues. The department saw more resignations in 2022 than any time over the past two decades—including at least 1,225 officers who left before even reaching five years of service.[151] More than 3,200 officers left the department last year. According to reporting, the attrition is spurred in large part by the demoralizing anti-cop rhetoric and policies and by the allure of better-paying positions in other jurisdictions.
Spending on uniformed services—fire, sanitation, corrections, and police—grew by 126% over the last four decades, parallel with overall city spending growth (including federal and state grants) but slower than just city-funded growth.[152] In fact, the city’s overall budget increase far outpaced inflation; and ballooning education spending, factoring in the city’s university system, experienced real growth of 193.5%.[153] Nor are the city’s retirement- and health-benefits costs for police, taken together, growing as a share of the citywide benefits budget.
Budget Reductions Inspired by Antipolice Sentiments
In 2020, following antipolice protests, Mayor Bill de Blasio and the city council committed to cutting $1 billion from NYPD’s budget. They did so to explicitly placate antipolice protests and demands rather than as an unavoidable cost-savings measure. The city decided to cancel two of its usual four new classes that year, to eliminate the planned hiring of about 1,160 officers, and shifted enforcement of illegal vending, homeless outreach, and school safety away from NYPD and onto other agencies.[154]
Former council speaker Corey Johnson said of the NYPD budget cut: “I wanted us to go deeper. I wanted larger headcount reductions, I wanted a real hiring freeze. But this budget process involves the mayor, who is not budging.”[155] The New York Times described those who were disappointed with the budget as ranging “from prominent Black activists, elected officials of color like Representative Alexandria Ocasio-Cortez, and longtime mayoral allies, like the actress and former candidate for governor, Cynthia Nixon. ‘Defunding police means defunding police,’ Ms. Ocasio-Cortez said. ‘It does not mean budget tricks or funny math.’”[156]
While these budgetary decisions were explicitly motivated by strong antipolice political pressure, they were ultimately tamped to some degree by the realities of the need for police manpower to monitor widespread protests and growing crime. In the end, the NYPD budget fell by only about a half-billion dollars in 2021. This was not, however, inconsequential, as it came in the context of police investments falling relative to the overall city budget, and it marked the first annual decrease since a roughly $18.5 million budget dip in 2004.[157]
The immediacy of rising crime and disorder, coupled with waning passions for antipolice measures, has put less pressure in this budget cycle to reduce police spending. As it stands, the FY 2024 preliminary budget would again represent a drop—of $300 million—but this does not include grants, which have already been incorporated into the 2023 total of $5.7 billion.[158] The FY 2024 number will grow when these are added.
What Does NYPD Spend On?
Since 1980, police department spending has remained largely flat, adjusted for inflation.[159] Relative to other agencies, NYPD’s expense budget is devoted almost entirely to personnel: its corresponding Personal Service budget in 2022 of $5.03 billion covered salaries, overtime, and other wages. The remaining $392 million paid for building leases, heat and power, supplies, equipment, and other costs.[160] For comparison, Personal Service spending accounts for just about 56% of the city’s overall budget.[161] This is not surprising, as NYPD accounts for one out of every six city employees.
NYPD has personnel assigned to 77 precincts, 12 Transit Districts, and 9 Housing Police Service Areas, and other investigative and specialized units. The large majority of spending on these personnel is for uniformed (not civilian) employees. The department divides its budget into 18 program areas. Patrol is the largest of these in terms of budget and headcount and represents roughly half of uniformed police and all precincts. In 2022, this included the 18,621 positions assigned to precincts, 17,271 of these being uniformed.[162]
Still, the civilian share of NYPD employees has grown significantly. In 1981, just 16% of full-time employee expenditures were on civilian employees. By 2021, it was over 29%.[163]
Overtime: An Unpredictable Expense
NYPD also accounts for an outsize amount of NYC overtime pay, another point of criticism directed toward law enforcement. Overtime is very unpredictable, as the demands on any police department may change over the course of the year, depending on crime rates. In 2020, unanticipated widespread, often volatile, protests required a large, uniformed officer response. Indeed, NYPD ended up spending $836 million in overtime that year—despite pandemic cancellations of public events like parades and fairs that normally require extra officer time.[164]
Because of this unpredictability, according to the Independent Budget Office (IBO), NYPD chronically underestimates its future spending on officers working extra shifts, resulting in consistently extending over budget.[165] IBO therefore anticipates that the FY 2024 overtime budget of $452 million will turn out to be insufficient. Roughly the same amount was budgeted for FY 2023, and over 90% of it had been spent just halfway through the fiscal year.[166]
Spending on Alternatives to Policing
Mayor de Blasio and the city council’s plan to reduce the NYPD budget by $1 billion included canceling the July recruit class, major overtime reductions, reducing contracts and non-personnel expenses, and shifting monitoring of illegal vending, homeless outreach, and school safety away from NYPD and onto other agencies.[167] Underlying these budgetary decisions were the guiding principles that police can be safely removed from various functions, interchangeably replaced with nonpolice, and that use of police should be minimized relative to other city employees and contractors. De Blasio stated: “It is time to do the work of reform to think deeply about where our police have to be in the future, where the NYPD has to be in the future.”[168] The budget shifts were couched, broadly speaking, as redistribution to other community services.“We are going to insure summer programming for over 100,000 New York City young people. That is going to be an investment of $115 million. Another $116 million will go towards education, another $134 million will go towards social services and family services in the communities hit hardest by the coronavirus,” de Blasio said.[169] The city planned a half-billion-dollar shift to NYC Housing Authority and NYC Parks youth recreation centers and for broadband expansion.[170]
Beyond these specific one-year budget changes, the past few years have seen broader shifts in overall criminal-justice funding, including several de Blasio–era programs intended as nonpolice, community-focused alternatives to increase public safety. The mayor expanded what had been a one-person role of Criminal Justice Coordinator into the Mayor’s Office of Criminal Justice (MOCJ) with dozens of staffers.[171] During de Blasio’s first term, between 2013 and 2017, MOCJ’s budget for these services and programs grew 67%, and then by 151% during his second term. MOCJ also funds the contracts for public defenders; these contracts grew by 157% from 2001 through 2020, from $141 million to $363 million.[172] By the current fiscal year 2023, MOCJ’s budget has increased to $813 million.[173] Over roughly two decades, the number of vendors receiving criminal-justice contracts rose by about 235%.
In real-world terms, these budgetary decisions were not about monetary efficiency; they were aimed at changing the criminal-justice system itself, including affecting outcomes for individual criminal defendants. Some of these plans revolved around de Blasio’s cart-before-the-horse commitment to close NYC’s main jail facility, Rikers Island. As described by IBO:
The budget for public defenders and community-based criminal justice system programming grew considerably from 2001 through 2020, with most of the increase occurring after 2017. [MOCJ] undertook several reforms to the system during this period in order to curb jail stays and expand alternatives to incarceration, with the intention of ultimately closing and replacing Rikers Island. This period of MOCJ’s growth was primarily driven by increased spending on contracts for community-based organizations. These contracts are for a range of services, including supervised release and other alternatives to detention and incarceration, re-entry services, victim services, and other programs.[174]
The Department of Probation also received greater funding, including toward its functions overseeing or collaborating on various mentoring programs, restorative justice efforts, and other specialized programming for both youth and adults under supervision. Spending on contractual services in these areas rose steeply under de Blasio, more than doubling from 2013 through 2020.[175]
In 2014, Mayor de Blasio launched the Mayor’s Action Plan for Neighborhood Safety (MAP), a far-reaching approach to reduce violent crime in and around the 15 most dangerous public housing developments in the city. While NYPD is a listed partner in MAP, it is explicitly not driving the program nor is it a central pillar of it. Similarly, MOCJ has run Atlas, which seeks to reduce cycles of violence through community-based therapy.[176]
According to IBO, the NYPD’s and the Department of Corrections’ share of the criminal-justice system budget fell from 84% in 2011 to 79% in 2020. At the same time, the budget share devoted to alternatives to detention and incarceration increased from about 6% to 8%.
This trend continued after de Blasio’s administration, even though recent reporting suggests that Mayor Eric Adams may be switching some program oversight away from MOCJ.[177] The city’s 2022 Executive Budget included increases in community-based programming for antiviolence programs, mental-health initiatives, and alternatives to incarceration. The MOCJ budget saw an expansion of the Cure Violence program (which uses contracted “credible messengers” to try to prevent violent crime) and Advance Peace Model[178] (which focuses on nonpolice gun interventions), as well as initiatives agreed to as part of the negotiations around the city council’s approval of the construction of borough-based jails, known as the Points of Agreement. The NYC Department of Health and Mental Hygiene also received increases for several mental-health initiatives, including de Blasio’s NYC Safe.[179]
Legislative Changes and Rising Crime
NYPD is just one of three categories in the city’s “administration of justice” spending, along with Corrections and Courts. But while all three have additional financial needs as the result of criminal-justice reforms over the past few years, the reforms have disproportionately hobbled the efficacy of Corrections and Courts. That leaves the police as an even more critical agency in a time of rising threat to New York residents.
Over the past few years, New York State passed several criminal-justice reforms that have contributed to the rise in crime. Raise the Age, enacted in 2017, reduced consequences for 16- and 17-year- old criminal offenders.[180] Bail reform, passed in 2019, makes it impossible for judges to detain categories of defendants pretrial even if they are dangerous, and it requires that judges set the “least restrictive” release conditions that reasonably ensure that defendants return to court.[181] Discovery reform, also passed in 2019, created such a heavy compliance burden on prosecutors that they were forced to triage cases, dismissing many times more viable cases.[182] And Less Is More, enacted in 2021, changed the rules around revoking parole, greatly reducing the number of both technical and criminal parole violators being returned to jail.[183]
The sum of the impact of these reforms is that while police are continuing to make arrests, offenders are not being incapacitated by prosecution and incarceration nor are they being deterred by the likelihood of either. The chances of seeing any meaningful legislative shift in the state’s spring budget appear low, since the NYS legislature has been staunchly unwilling to have a probing discussion about the actual impacts of these laws on public safety.
Since its nadir around 2017, NYC crime has risen, first slowly and then leaping up in 2020. This increase has been both in serious violent crime and in street-level disorder. In 2022, there were over 30.7% more index crimes in NYC than in 2019. This represented 55,000 more victims, including 30,000 felony victims.[184] Some offenses, like car theft, were up over 150%. And while both shootings and murders were slightly down from 2021 peaks, there were nearly 70% more shooting victims and over 30% more murders in 2022 than in 2019.[185] The victims of this rising violence are disproportionately black and Hispanic and disproportionately young: juvenile shootings and homicides have not fallen, even while the overall rates have.[186]
Nonviolent crime is way up, as well: petit larcenies have risen 28% since 2019, and grand larcenies rose 18%.[187] Quality-of-life crime has also increased with a widespread rise in homelessness, open drug use, and fare evasion.
Recommendations
Invest in Police Officers, a Proven Public-Safety Investment, Not the Alternatives
Police have been repeatedly proven to reduce crime and public disorder.[188] Research indicates that each additional police officer added to a large American police force abates approximately 0.1 homicides.[189] And the per-capita effects of this improvement are twice as large for black victims as they are for white victims. In the past few years, the city has spent an enormous amount on rhetoric-heavy public-safety alternatives rather than on uniformed officers—with fewer measurable gains for New Yorkers in general or for black residents, in particular. Mayor Adams should push to refocus maximum funding toward NYPD officers at the expense of less proven alternative programs.
There is fresh justification for this shift. In the past few years, New York City has had more measurable gains from funding officer-driven programs than these alternatives. In 2022, Mayor Adams, with help from Governor Kathy Hochul, invested more resources within the NYPD to reduce shootings through Neighborhood Safety Teams, a successor of NYPD’s earlier undercover Anti-Crime Units. In 2022, the department received $1.5 million in city funds to hire additional staffing to support the highly sophisticated Gun Violence Strategic Partnership (GSVP).[190] The 20% drop in shooting incidents as of mid-February 2023 over this time in 2022 suggests that this funding served an immediate and lifesaving benefit to the city.[191]
In 2022, NYPD’s “Subway Safety Plan” required enhanced deployments into the transit system and only saw its true gains after the efforts were bolstered by additional officers.[192] This was enabled by money from Albany to cover added overtime costs. But the subway, which had continued to see runaway crime increases, saw a drop in transit crime of nearly 20% year-to-date, as of mid-February 2023.
Compare this with the success rates of alternative public-safety programs. The MAP program, for instance, aimed to reduce crime in 15 housing developments. According to metrics provided by the mayor’s office, index crime in these 15 developments increased nearly 40% from MAP’s inception through fiscal year 2021. Violent crime rose nearly 50%, and shooting fully tripled.[193]
The youth-focused mentoring and crime intervention promised by vendors with the Cure Violence and other “violence interrupter”–based programs do not appear to be successful, especially not against the added hurdle of “Raise the Age” legislation’s impact on juvenile crime. Between 2017 and 2022, youth gun crime rose by nearly 200%, and youth gun victimization nearly tripled.[194] And by the last quarter of 2022, teens under 18 were responsible for about 20% of city robberies.[195] These trends, tragically, have not reversed in 2023.
Invest in Attracting and Training Police
Police are also central to secondary goals, such as building up a community’s resilience, and facilitating the safe and citywide functioning of services like mental health and education. Research indicates that pairing officers with service providers greatly improves the latter’s reach and efficacy.[196] In addition to targeting city budget investment on officers, the mayor should consider expanding training programs for officers involved in policing crime hot spots. Evidence indicates that such training makes a large on-the-ground difference in how high-crime area residents perceive the police—and also leads to lower crime rates.[197]
Investing more toward NYPD could also help stanch the record-breaking levels of resignations and the difficulty in attracting high-quality recruits. As recently reported in the Wall Street Journal, two decades ago, the NYPD “attracted 20 applicants for every open position. But an exodus of officers that began in 2020 has today left the NYPD short 1,700 officers.”[198] Not only does a shortfall in qualified recruits weaken the city’s ability to patrol and fight crime; it can strain community relations—or worse. Lowered applicant standards were, for example, at play in the hiring of team members in the Memphis Police Department who brutally beat Tyre Nichols to death in January 2023.[199] The NYPD should do all it can to attract and hire only individuals with the psychological, mental, and physical aptitude and skills to responsibly serve and protect.
Conclusion
After years of tumult and spiking crime, President Joe Biden, Mayor Adams, and Governor Hochul all agree: police are necessary, and defunding departments is simply bad policy. What’s less understood, in part thanks to frequent antipolice rhetoric, is that over the past four decades, NYPD funding fell from 5.2% to 4.9% of the total city budget and now totals only a sixth of the education spending. The department is suffering from major problems in recruiting qualified and talented officers, placing at risk those who are most likely to become victims of violence and disorder: black, Hispanic, and young New Yorkers.
At the same time, however, the funding put to alternative public-safety programs has not achieved greater safety. These divert dollars from hiring more officers, an approach that has proved to reduce serious violent crime, with disproportionate gains to black communities. Last year’s initiatives to reintroduce a plainclothes unit and put more officers in the subway system have accompanied promising reductions in crime thus far in 2023.
These results demonstrate the promise of refocusing maximum funding toward NYPD officers instead of less proven alternative programs. Filling the NYPD’s 1,700-officer shortage should be Mayor Adams’s top public-safety priority in the FY 2024 budget. As NYS’s recent criminal-justice reforms impede the effectiveness of the criminal-justice system, it is imperative that the police receive enough support to stem the tide of crime that began in 2020.
The New York City Department of Social Services
Stephen Eide
Senior Fellow, Manhattan Institute; Contributing Editor, City Journal
The Context
The Department of Social Services (DSS) is the main city agency on which low-income New Yorkers rely to meet their social and economic needs. DSS serves as both the local administrator of federal social programs (a function performed by county governments elsewhere in New York State and the nation) and as the administrator of much of New York’s own local welfare state.
DSS operates homeless shelters and rental subsidy programs; and it provides access to cash assistance, food stamps, heating assistance, employment programs, and subsidies for transportation and burial expenses. Programs for domestic violence, HIV/AIDS, child support enforcement, and IDNYC (the free government-issued photo ID card for city residents) are operated out of DSS.[200] DSS comprises two administrative units:[201] the Human Resources Administration (HRA), founded in the 1960s to organize New York’s then-rapidly expanding network of social programs;[202] and the Department of Homeless Services (DHS), founded in the 1990s to provide targeted attention to the local homelessness challenge.
Measured in terms of its budget ($13.7 billion in FY 2022), DSS is the second-largest department in city government, after the Department of Education (DOE).[203] In terms of headcount, DSS trails both DOE and the New York Police Department, possibly reflecting the agency’s heavy reliance on nonprofit contractors.[204] Per one recent estimate, New York City government indirectly employs more than 80,000 nonprofit workers across all areas of human services.[205]
The Challenges
The size of the DSS budget reflects New York’s substantial wealth (there are 28,000 income millionaires in the five boroughs)[206] and political willingness to tap that wealth to expand government programs. It also exposes city government to the risk of fiscal distress. For instance, the 1975 fiscal crisis was preceded by a large increase in spending on social programs.[207]
But just how much the DSS budget exposes the city to the risk of fiscal distress is hard to gauge. About one-fourth of the DSS budget is pass-through, funded by either state (5%) or federal (17%) revenues.[208] Much of what is classified as “city tax levy”–funded spending is not truly discretionary but mandated. Medicaid spending, DSS’s largest line item by far (over $6 billion, or close to half the agency’s total FY budget), reflects New York State’s unusual requirement of a local match for Medicaid.[209]
That major DSS programs are often funded by a mix of funding sources exposes city government to the risk that its share will be increased. The city’s annual contribution to cash assistance—now over $800 million—has increased in recent years because of state funding decisions.[210] In 2009, the city eliminated a jointly funded rental subsidy program because the state cut its match and local policymakers decided that the city budget could not shoulder the burden alone.[211]
Supportive housing is another example of a program jointly funded by city and state government (through a series of so-called NY/NY agreements). Lately, DSS has seen particularly robust growth in homeless services, whose budget more than doubled under former mayor Bill de Blasio’s two terms in office (Figure 1).[212]
Figure 1.
NYC Spending on Homeless Services, FY 2014–FY 2021

The de Blasio–era expansion of homelessness spending happened before the surge of foreign “migrants” that began in spring 2022, which is, at present, New York’s most pressing social services–based fiscal challenge.[213] The migrants use many city services (child care, health care, employment services, legal, translation, K–12 education),[214] but by far their largest fiscal burden lies in shelter costs: 84% of the total bill, according to a November 2022 estimate by the New York City Independent Budget Office.[215] The current estimate for the migrants’ costs, across the current (FY 2023) and next fiscal years, is $4.2 billion.[216]
Shelter spending represents another complicated mix of funding sources. City government has always relied partly on federal and state sources to help pay for homeless shelters. But during the 2010s, the state government shifted more of the burden onto city taxpayers.[217] Because migrants do not qualify for federal benefits, the city will bear a disproportionate share of their shelter costs, as contrasted with the native homeless population.[218] Having to spend more on shelter from own-source revenues does not reflect any increased policy flexibility that the city now has over homeless services. Shelter spending is mandated by New York’s “right to shelter” law. In the event of fiscal catastrophe, city government could theoretically seek to modify or repeal the law, but the result of that process would be uncertain.
The local welfare state has grown in recent years because more people have qualified for existing programs (e.g., shelter initiatives) and because of New York’s decision to start new programs. Two notable new programs, both administered by HRA, are “Fair Fares” and CityFHEPS (City Fighting Homelessness and Eviction Prevention Supplement).[219] The former began in January 2019 and provides half-price MetroCards to extremely low-income New Yorkers. Fair Fares’s $75 million cost is completely city-funded.[220] CityFHEPS is a rental assistance program targeted at New Yorkers who are homeless or at risk of homelessness. CityFHEPS’s budget is about $300 million in FY 2023; the total FY 2023 budget for all DSS rental assistance programs is about $510 million; two-thirds of that is funded by the city.[221]
Human Resources Administration
New York’s social-services budget is partly a function of policy and partly one of economic conditions.
In February 2023, the city’s unemployment rate was 5.4%, while the national rate was 3.6%.[222] Before the pandemic, the number of jobs in New York City had reached a historical high. As of February 2023, NYC regained 99% of its pre-pandemic jobs.[223] The local economy still needs to gain about 40,000 jobs to complete its recovery, which it should achieve by this summer, if the recent trend of adding 10,000–15,000 new jobs per month continues to hold.
The two safety-net programs administered by HRA of which New Yorkers make the most use are SNAP and Medicaid. About half of NYC’s population is enrolled in Medicaid (4.3 million),[224] and about 20% is on food stamps (1.7 million).[225] Rates of dependency vary across city neighborhoods. There are five community districts in which at least 40% of the population is on SNAP,[226] and 11 in which at least 30% are on SNAP.[227] All told, about one-third of the Bronx is on SNAP, and over two-thirds is on Medicaid.[228]
In recent decades, enrollment in SNAP and Medicaid has generally risen, and enrollment in cash assistance—“welfare”—has generally declined. For decades, NYC has crafted welfare policy with and through HRA; the agency’s function with respect to SNAP and Medicaid is essentially administrative.[229]
Before the pandemic, NYC’s cash assistance caseload had reached a 60-year low[230] but has since rebounded. The current monthly case count of 440,000–450,000 represents a level not seen since the wake of the dotcom/9-11 recession. The present surge began toward the end of 2021 (Figure 2).[231] The city comptroller attributes the current surge to the expiration of federal pandemic relief programs.[232] Of course, that could explain only why enrollment is higher than it was during the early Covid pandemic but not why it is higher than it has been in almost two decades—and has been rising with the post-pandemic rise in jobs.
Figure 2.
Job Growth vs. Welfare Caseload, New York City, 2014–23

Mayor Bill de Blasio came into office sharply critical of previous administrations’ welfare policies.[233] Officially, de Blasio embraced the goal of reduced dependency. But he argued that HRA could move more New Yorkers to self-sufficiency if it worried less about getting them off cash assistance and into work as rapidly as possible.[234]
In housing policy, de Blasio, like most other progressives, considered placing someone in permanent housing as quickly as possible to be an appropriate measure of success (“Housing First”). But in employment policy, de Blasio argued that placing welfare clients in low-wage jobs to gain work experience (“Work First”) was an ineffective approach to upward mobility.[235] De Blasio argued that allowing people to remain on welfare longer, as they pursued a higher-quality job, via education and training programs, would lead to more sustainable exits from dependency.[236] New York has always been host to numerous workforce development programs with an education and training focus; HRA itself is one player among many organizations, private and public, in workforce development.[237] But HRA’s employment programs are of particular importance for welfare policy, which, as noted, has a direct impact on the city budget because of the required local contribution to cash assistance. The Giuliani-Bloomberg emphasis on work experience was, in part, a reaction against frustrations with the underperformance of the education and training approach.[238]
Under de Blasio, HRA reduced the rate at which it placed welfare clients in sanction or facing sanction for violating program rules from 20% in December 2013 (the last month of the previous Bloomberg administration) to, by December 2017, 9%.[239] In addition, the de Blasio administration restructured HRA’s employment contracts to increase emphasis on education and training.[240] Welfare enrollment did decline toward the end of the de Blasio term, indicating that HRA’s policies of more accommodations toward reliance on cash assistance did not cause the rolls to grow unsustainably. However, that decline was facilitated by the record-high jobs numbers of the late 2010s. More careful analyses of de Blasio’s employment policies found ambiguous results.
The initiatives unquestionably led to a reduction in job placements in their first years of implementation, before Covid hit,[241] and did not lead to any markedly higher rate of job retention. In FY 2019, 64.7% of HRA clients who obtained employment avoided returning to welfare in a year, a rate only half a percentage point higher than it was in FY 2015 (the unemployment rate was 4.2% vs. 6.6% in FY 2015). Then Covid arrived, causing increased unemployment and reliance on all safety-net programs and a suspension of welfare program requirements.[242] This led to far fewer job placements (Figure 3).
Figure 3.
Number of Clients Whom HRA Helped Obtain Employment, FY 2014–FY 2022

HRA plans to reinstate cash assistance program requirements during the first half of 2023. More generally, though, the Adams administration has made no notable changes to de Blasio’s HRA policies. It has symbolically emphasized the role of benefits over employment by renaming jobs centers “Benefit Access Centers.”[243]
Department of Homeless Services
Homelessness in New York City is at a historical peak. All told, there are now more than 90,000 homeless people in NYC: 72,000 in shelters run by DHS, 8,000 in shelters run by other city agencies, 9,000 in Humanitarian Emergency Referral and Response Centers built for the migrants, and 3,400 living on the streets and subways.[244] Figure 4 shows recent trends in the core DHS shelter system.
Total Individuals in DHS Shelters, January 2013–Mid-March 2023

New York City is host to a larger homeless population than any other city in the U.S. because: (1) it is the largest city; (2) there is a shortage of low-rent apartments;[245] (3) the unique “right to shelter” policy; and (4) a long-standing commitment to devote great resources to the local homeless services system. Many families in the city shelter system would likely be doubled up if they lived in any other U.S. city and would therefore not be classified as “homeless” per the official U.S. Department of Housing and Urban Development definition.
Homelessness imposes costs on various city departments, due to the diversity of the homeless population and their often very substantial service needs. The school system bears significant costs associated with a single mother living in a shelter with two or three children.[246] The library and transit systems would shoulder lower security costs if the single adult homeless population were lower. Homelessness-related costs for NYPD include those associated with shelter arrests[247] and special training programs in de-escalation. However, total homelessness spending is difficult to estimate because so many city departments are involved and because many (arguably, even all) of those costs could just as easily be understood as the costs of poverty and behavioral health. Many government-funded nonprofits working in the homelessness field raise philanthropic funds to supplement the financial support that they receive from the city; some homelessness organizations are purely privately funded.
The chief function of DHS is to run shelters, which it does mainly through contracting with nonprofit providers. Those costs, combined with rental assistance and other programs classified as “homeless services” run out of HRA and other city departments, total $4.5 billion in FY 2023.[248]
Homelessness now stands at a historical peak because of the migrant influx that began in spring 2022; when Mayor Adams first took office, in early 2022, New York’s homeless census had been declining (Figure 4). About 100 new sites have been opened to accommodate the 50,000 migrants, more than 30,000 of whom are still in shelter.[249] Estimates of providing for the migrants are now $1.4 billion in FY 2023 and $2.8 billion in FY 2024.[250] In her executive budget, New York governor Kathy Hochul proposed splitting the city’s migrant costs three ways between the city, state, and federal governments.[251] The Biden administration has allocated $800 million for migrant costs, but it is unclear how much New York State will receive. The city comptroller believes that it is reasonable for the city to expect $200 million in federal reimbursement.[252]
In addition to its fiscal impact, the migrant surge has created programmatic challenges in homeless services. On a few occasions, NYC has failed to comply with its legally mandated “right to shelter” mandate,[253] individuals seeking domestic violence shelters have failed to access them promptly,[254] a needed expansion in youth shelters has been stalled,[255] and hotel conversions (an idea highly touted by Mayor Adams and advocates,[256] for which purpose state government allocated $200 million) have failed to materialize.[257] All these problems have been caused or exacerbated by the migrant surge and are surely not the only problems.
New York tries to place shelter clients in a program tailored to their unique needs. There are shelters for seniors, youths, families with children, families without children, for mental health, substance abuse, and employment-oriented shelters. But, as explained in a 2022 state comptroller report, the NYC shelter system regularly failed to place clients in appropriate shelters even before the migrant surge, when the number of clients was declining (2018–22).[258] New York shelters’ success at persuading the unsheltered to come in from the streets and subways—one of the system’s most important functions—depends on shelter quality. Shelter quality becomes more compromised when the census is rapidly increasing.
Recommendations
Two areas for reform in the social services are workforce development and shelter administration.
- Workforce development
Between February 2020 and February 2023, jobs in New York declined by 1%, but cash welfare enrollment rose by about 40%.[259] Rising cash welfare rolls are easy to understand when the economy enters recession or in the wake of a policy change, such as was enacted in the early years of the de Blasio administration, in order to encourage more enrollment. Since neither of those conditions applies now, New Yorkers’ increased use of cash welfare, under the Adams administration, merits more scrutiny than it has thus far received. One obvious area to examine would be the effectiveness of de Blasio–era policies promoting education and training over the “Work First” approach. - Shelter administration
Though running shelters is, arguably, the most important task in New York homeless services, reforming shelter programming was not a leading focus of the de Blasio administration, nor, thus far, has it been a priority for the Adams administration. The latter’s two most defining homeless strategy documents, the “Subway Safety” (February 2022) and “Housing Our Neighbors” (June 2022) plans, are not focused on shelter administration.[260]
The state comptroller’s recent analysis of the city shelter system found that “there is limited assurance that clients were being placed in and/or transferred to a shelter that could best provide the services necessary to help the individual move forward to permanent housing, independent living, or further treatment in a more appropriate setting if necessary.”[261] Neglect of shelter administration has also led to several corruption scandals,[262] a recent rise in the rate of violent incidents in shelter,[263] and long-standing issues with basic benchmarking and transparency.[264]
Shelter-based programming during clients’ stays, whether for employment or behavioral health, has always been seen as essential to strengthen the sustainability of exits into permanent housing. What programmatic expectations does New York intend to place on shelter? How will it evaluate whether those expectations are being met? And what should be done if they are not being met? It is all well and good to try to prevent people from entering shelter, but NYC needs to devote serious attention to how it intends to help people after they do enter.
Conclusion
When more people use city-funded safety-net programs, costs rise for NYC’s budget. Left unchecked, those rising costs could lead to fiscal distress, as happened during the 1970s. A more immediate risk would simply be less funding for other priorities, through a “crowd-out” effect induced by rising spending on shelters and cash assistance. Spending on the migrant surge exceeds the combined budgets of the parks and library departments.[265] Any attempt to “re-fund” the police department, e.g., by increasing uniformed staffing levels closer to those seen in the 1990s, must reckon with the recent rise in social-services costs (Table 1).
Table 1.
Growth in Social-Services Spending vs. Overall Budget Growth, New York City, FY 2019–FY 2023

Between FY 2019 and the current fiscal year, the DSS budget’s rate of growth outpaced the total city budget by almost 2 percentage points. Had the growth in dependency been more moderate, and social-services funding increased at the rate of the total budget, New York could potentially have had more than $200 million to invest in other programs.
Pensions and New York City’s Fiscal Future
Daniel DiSalvo
Senior Fellow, Manhattan Institute
The Context
New York City employed 282,498 people in 2022. Relative to other municipalities, the city is a generous employer. A big part of its compensation package comes in the form of a pension to provide employees with financial security in retirement. The city government uses pensions as a recruitment tool for police officers, firefighters, teachers, and civil service workers. Those employees have helped the city succeed. However, the pension systems’ deferred costs strain current budgets. To the extent that the pension tab limits the city’s ability to provide ample services to make the city an attractive place to live and do business, it threatens New York City’s future vitality.
The end of a bull market in 2022, combined with the Covid-induced exodus of office workers and affluent residents, makes it harder to raise revenue at a time when the city owes billions of dollars to retired and soon-to-retire city employees. While the Big Apple is better positioned than other cities, the threat of higher taxes and diminished services is something that policymakers should worry about.[266]
In 2023, and in the foreseeable future, New York City will have to contribute more to its pension plans to compensate for the market shortfalls of 2022. Indeed, the city projects that its pension contributions will rise steeply in fiscal years 2024–26.[267] This will add another source of strain to the city’s budget.
Ultimately, if New York City tries to address the pension crunch by keeping the employee headcount down—often by leaving vacancies unfilled—it must also identify productivity improvements, or else public services will deteriorate. But, as discussed below, there are other policy options. For instance, the modest pension reforms enacted under Governor Andrew Cuomo and Mayor Michael Bloomberg are now beginning to bear fruit. The success of these reforms shows that the city, with state support, can bend the cost curve.
The Issues
Like other governments that operate defined-benefit pension plans, New York City confronts two challenges. The first is practical: budget pressure created by increased contributions to the pension funds when market returns fall short or new employees are hired. This makes it difficult to maintain staffing levels without excessively burdening the city with elevated pension costs in the future. Every new hire carries a long-term pension liability—and every pay raise increases that long-term pension liability. In that respect, pensions are deeply woven into the basic costs of city government, the largest of which is its human capital in the form of its employees.
The second challenge is political: there are few levers that the city alone can pull to reduce pension contributions in the short term, and all the long-term options arouse opposition from workers and unions. Pension benefits are currently determined by state law, not through union contract negotiations or by the city council and the mayor. City policymakers must petition state lawmakers to change existing rules. Albany, however, is typically more interested in increasing benefits, which is politically popular but imposes greater financial burdens on the city, which must pay for them.[268] The reason pension retrenchment remains unpopular with elected officials is that current policymakers must endure political pain from a highly motivated group of affected workers and their union representatives, while the budgetary benefits, though substantial, are more widely dispersed among current employees, the public, and future policymakers.
Like defined-benefit pension plans elsewhere in the U.S., New York City’s plans operate as follows: workers and their employers each make contributions to a fund (although sometimes, the employee’s share is paid by his or her employer); that fund is governed by a board that makes broad decisions about how to invest the money; then those funds are used to pay an annuity-like stream of income to workers when they retire. The “defined benefit” means that a certain percentage of a worker’s final average salary—determined by a formula that uses the number of years on the job and average salary over the last three to five years of employment—is paid for the remainder of the retired worker’s life.
By providing a guaranteed stream of income in retirement—regardless of whether the pension funds’ assets and market performance are sufficient to make those payouts—such plans expose taxpayers to considerable risk. If the plans are underfunded, public budgets—and, ultimately, taxpayers—must come up with the money to make the payouts, which are contractually (and in New York State, constitutionally) guaranteed. Because defined-benefit pension finance is effectively a pro-cyclical economic policy, government employers are under the most budget pressure from pensions during economic recessions, which is when they can least afford it.
New York City currently contributes to five separate pension funds, which cover the bulk of its workforce (Table 1).
Table 1.
New York City Pension Plans

The best available data on NYC’s pension contributions come from the city’s Annual Comprehensive Financial Reports (ACFRs), as well as such reports from the individual pension funds.
Those data provide a way to measure how much pensions cost the city each year. To fully understand these costs, I calculate four figures. The first is total pension expenditures as a percentage of total revenue. This provides a sense of what portion of all city revenue is allocated to pensions.
The second figure is total pension expenditures as a percentage of city revenue. By using only city-generated revenues—that is, excluding state and federal funding—one can better see how pensions affect the city’s ability to support services locally. As a general matter, the city should not rely on one-time revenue sources for recurring expenses such as pension contributions.
The third figure is total pension expenditures per full-time employee (FTE). This metric is a useful measure of pension-induced fiscal pressure because a city’s pension contributions are, in part, a result of the size of its workforce: if a city hires more workers, its pension contributions will increase because it must contribute on behalf of more people. This is particularly relevant in New York City because it remains an outlier, compared with other cities, in the high number of employees relative to its population.
The fourth figure is the percentage change in total city employment from 2011 to 2022. These figures form the basis of the analysis.
Between 2011 and 2022, pension expenditures increased 20% (in inflation-adjusted dollars) in NYC (Table 2). In addition, NYC had a 4% increase in pension spending per FTE. In 2021, the city was spending about $32,000 per FTE on pension contributions to the various plans.
Table 2.
Percentage Increase Pension Expenditures 2011–22

Between 2018 and 2022, NYC spent roughly 9%–11% of its total general revenue on pensions (Table 3). This percentage has declined slightly over the last few years. But this is largely an artifact of the increase in general revenues created by federal and state aid during the pandemic, rather than reflecting a decline in pension contributions.
Table 3.
Pension Expenditures as a Share of Total Revenue

If one looks only at pension contributions as a percentage of total city revenue, it is clearer that pension costs have begun to fall slowly (Table 4). The slight decline is largely thanks to pension reform enacted a decade ago, called Tier VI, which is discussed below. It should also be noted that pension costs make up a larger share of the city-generated revenue (excluding state and federal grants-in-aid). Pension costs are set to increase over the coming years—and unless local revenues increase, they will continue to grow as a share of city revenue.
Table 4.
Pension Expenditures as a Share of City Revenue

A big challenge for New York City is that it went on a hiring spree under former mayor Bill de Blasio, who was in office from 2014 to 2021. Between 2011 and 2022, the number of FTEs increased by 5.28% (Table 5). According to the city’s most recent ACFR, it employed 282,498 people in 2022—this is down from a high in 2021. (The figure is comparatively large because in New York, K–12 public schools are directly controlled by the city, rather than by a separate school district.)
Table 5.
Percentage Change in Total FTEs 2011–22

The appendix to this section also provides data, covering the last decade, for each of the five main pension funds that the city manages: assets, liabilities, funded ratio, total active (working) participants, total beneficiaries, the average participant salary, and average benefit.
How to Manage Pension Pressure
There is only one way New York City can reduce short-term pension-induced budget pressure: reduce the number of current employees, either by firing workers or not replacing those who quit or retire. But the city must then “do more with less” to maintain a consistent level of public service provision.
Over the longer term, the city can do more to address pension pressure. Mayor Eric Adams and other city officials can petition Governor Kathy Hochul and the state legislature to undertake pension reforms that will ease the burden for the city in the future. Ultimately, reform is better for current workers (who will be at less risk of being laid off) and the public (which relies on city services). Pension reform thus secures jobs and services, and public messaging should explain that. Reform is often seen as politically unattractive because the tangible benefits to the city accrue only in the distant future, but the benefits do not take as long to manifest as some might believe.
Indeed, New York has a recent example of successful reform. In 2012, then-mayor Bloomberg partnered with then-governor Cuomo to secure the passage of significant pension reform. Today, only 11 years later, the city has already begun to reap the rewards.
The Cuomo-Bloomberg legislation created a new, sixth pension “tier” in New York. The new tier simply modified parts of the defined-benefit pension scheme that was already offered—making it somewhat less generous and bringing it more closely in line with plans in other states. The changes applied only to workers hired after 2012 and did not change the existing arrangement for any then-current employees. Over the last decade, however, the city has since hired thousands of workers under the new plan, slowly bending the cost curve, as the data above indicate.
Tier VI raised the non-uniformed retirement age by one year, from 62 to 63. It increased the vesting period from five to 10 years and increased employee contribution rates progressively, based on salary. It also readjusted the “multiplier”: under Tier V, a worker with 30 years’ service would receive 60% of his salary; under the new tier, that worker would receive 55%. To prevent pension padding, often accomplished through excess overtime in the last year or two of employment, the legislation also expanded the period used to calculate a worker’s final average salary from three years to five years. Finally, pensionable overtime was capped at $15,000 plus inflation; and for uniformed employees outside NYC, at 15% of base pay.
At the time the legislation was signed, Mayor Bloomberg estimated that the city would save “something like $21 billion over the next 30 years.”[269] After only 10 of those 30 years, a rough estimate is that the city has already saved some $7 billion.
One can get a sense of those savings by looking at the contributions to the New York City Police plan. Between 2001 and 2011, the city’s contribution to the plan increased 197% (in inflation-adjusted dollars); between 2012 and 2021, the city’s contribution declined 17% (in inflation-adjusted dollars).[270] Similar savings can be found across the city’s five plans.
All this is to say that long-term reforms are really shorter-term than policymakers and the public often realize.
What solutions should Mayor Adams and other city officials champion? First, they should revive a long-overdue step advocated by former mayor Bloomberg and former comptroller John C. Liu: merging the city’s five separate pension plans into a single plan governed by a professional administrator. Not only would this bring transparency to the different funds’ financial reporting for workers and the public, but it would also save money by creating efficiencies.[271] Instead of five plans with 58 politically appointed board members, there would be one plan with a single board tasked with managing all the assets with an in-house professional investment staff chosen by the board. Currently, the city comptroller picks the investment staff that advises each of the five plans.
Second, the mayor should lobby for another increase in the full retirement age to 65. Americans are living and working longer, and pension systems should reflect that. Bloomberg had proposed 65 as the threshold in 2012, but that was winnowed down to 63 in legislative bargaining in Albany. By requiring more years of service, the state and the city will be able to modestly hold down contribution costs. Other small changes in the pension formulas, such as the multiplier or employee contribution rates, can also help restrain the costs to the city. These should be explored as well.
Third, the state should expand the defined-contribution plan options and extend them to more employees. The Tier VI legislation created an optional defined-contribution plan for new nonunion employees with salaries of $75,000 and above. SUNY and CUNY professors have also long enjoyed the option to select a defined-contribution plan, managed by TIAA-CREF, rather than the traditional defined-benefit plan.[272] Expansion of defined-contribution options could serve as a model for the nation.
A large majority of workers will likely decline to participate in a defined-contribution plan even if given the option, but for every new hire who does, NYC will no longer be responsible for ensuring his or her retirement income in full—but only for making contributions while the employee is working. This will slowly reduce the long-term liabilities on the city’s books. This plan would be voluntary and portable, so if workers left their positions before vesting or prior to earning a full pension, they would take their retirement savings with them.
Conclusion
Aside from refusing to hire more workers and finding efficiencies to replace them, none of the above recommendations is going to reduce budget pressure caused by rising pension costs in the very near term.
However, certain measures, such as expanding defined-contribution options and constraining the generosity of existing pension systems, can produce real savings in the medium and long run. And, as noted above, the long term here isn’t very long—in 10 years, the city will see savings start to accumulate.
The reason to act now is to achieve the right balance between making city employment attractive and providing ample services that will continue to make New York City an attractive place to live and work.
Appendix

Housing Preservation and Development
Eric Kober
Senior Fellow, Manhattan Institute
The Context
The Department of Housing Preservation and Development (HPD) is responsible for administering New York City’s affordable housing programs and enforcing the Housing Maintenance Code, the city ordinance that sets minimum health, safety, and maintenance standards for residential dwellings. The agency was established in 1978, following a reorganization of the Housing and Development Administration, a “superagency” created in the 1960s by then-mayor John V. Lindsay. HPD is by far the nation’s largest municipal affordable housing development agency.
As large as it is, HPD does not account for all of New York City’s affordable housing efforts. The city also controls two independent public authorities: the New York City Housing Authority (NYCHA); and the Housing Development Corporation (HDC). NYCHA owns and, in most cases, manages the city’s public housing stock. In addition, NYCHA administers a portion of the federally funded rent subsidies allocated to New York City (HPD also administers some of these rent subsidies).[273] HDC is a financing entity for affordable housing, using tools provided in state and federal law, particularly tax-exempt bonds and low-income housing tax credits. Except for a portion of the city expense budget that is funneled to NYCHA, the budgets for these entities are not consolidated with HPD’s.
Expense Budget
In FY 2023, the fiscal year commencing July 1, 2022, HPD’s adopted expense, or operating budget, was $1.255 billion. By January 2023, this had increased by $192 million, as a result of nonrecurring (mostly federal) funding. The preliminary expense budget for FY 2024 is $1.193 billion, a proposed reduction of $53 million from FY 2023. HPD had authorization for 2,698 full-time employees in the FY 2023 adopted budget, but the preliminary FY 2024 budget calls for a reduction to 2,638. The Office of Housing Preservation, HPD’s code enforcement arm, has the largest share of these positions, with 1,061. Central administration is second in size, at 574; the Office of Development, which facilitates the construction and rehabilitation of affordable housing, is third, at 416.[274]
HPD’s expense budget rose sharply during the mayoral administration of Bill de Blasio. The adopted HPD expense budget for FY 2014, the last budget adopted during Michael Bloomberg’s administration, was $575 million. That budget authorized 2,348 full-time positions.[275]
A comparison of the adopted budgets for FYs 2014 and 2023 indicates where the largest increases have taken place. Personal Services (salary) expenses were budgeted at $140 million in FY 2014, and $200 million in FY 2023, a 43% increase.[276] Other than Personal Services (OTPS), expenditures were budgeted at $438 million in FY 2014 and $1.057 billion in FY 2023, a 241% increase. This category includes $278 million in city assistance to NYCHA, an item that did not exist in the 2014 HPD adopted budget. Partly as a consequence, city funding to HPD’s expense budget, $59 million in FY 2014, increased to $407 million in FY 2023. Recurring federal funding has also increased significantly. The FY 2014 budget allocated $123 million in federal community development funds to HPD, and $371 million in other federal funding. In the FY 2023 adopted budget, these figures rose to $176 million and $642 million, respectively, and similar amounts are included in the FY 2024 preliminary budget.
Capital Budget
HPD’s capital budget facilitates housing improvements with a long life span, either through new construction or rehabilitation, and is funded through long-term borrowing. The agency’s preliminary 10-year capital strategy for FYs 2024–33 totals $18.686 billion, of which $18.366 billion comes from the city, with the remainder federal. The first three years of the strategy include $847 million in preservation funding to NYCHA. These funds will be used for rehabilitation of NYCHA-owned buildings that were transferred to private management under the Permanent Affordability Commitment Together (PACT) program. Other large components of the plan include $7.553 billion for new housing construction, $5.421 billion for housing preservation, and $3.956 billion for special-needs housing. This last category includes low-income senior housing and supportive housing for the formerly homeless. New housing funding is back-loaded—rising significantly, beginning in FY 2027.[277]
As with the expense budget, HPD’s capital spending rose rapidly when Bill de Blasio became mayor. In FY 2014, the department spent $428 million. Capital spending peaked in FY 2019 at $1.681 billion, before falling to $1.018 billion in FY 2022.[278] The added funding enabled a large increase in output. In FY 2014, there were 8,990 “starts” of new or rehabilitated housing units. That figure peaked in FY 2018, at 32,116. In FY 2021, there were 28,310 starts, falling to 16,042 in FY 2022.[279] HPD attributed the falloff to cost inflation and a high level of staff vacancies.[280]
NYCHA has its own allocation in the preliminary 10-year capital strategy of $4.362 billion.[281] The funding reflects commitments made by the city in an agreement with the Justice Department and other federal agencies.[282] These funds will be used mainly to upgrade buildings in traditional public housing that is owned and managed by NYCHA. This funding is front-loaded, with $1.5 billion in the plan for FY 2024 and $593 million for FY 2025.
The most important issues with HPD’s budget relate to the size of its capital spending. The mayor is under continuous pressure from city councilmembers and advocacy groups to spend more. Mayor Adams has appropriately resisted this pressure and started the city down a path to more effective and less costly housing policies.
HPD Budget Issues
New York City has a vast network of nonprofit and for-profit affordable housing developers, financial institutions, and advocacy groups, all of whom depend on the largesse dispensed through HPD and advocate for funding to be kept constant or increased. Many of the people in this network worked at HPD at some point in their careers, and many HPD employees use their experience to gain entry to this network or similar ones in other cities. The network grew and became more influential in the de Blasio administration, and it continues to sway the Adams administration and the city council.
The New York Housing Conference (NYHC), a nonprofit advocacy group, provides policy analysis typical of the network’s viewpoint. NYHC’s commentary on the city’s FY 2024 preliminary budget and 10-year capital plan[283] criticizes the failure to increase capital funding in FYs 2024 and 2025, compared with last year’s plan, despite rising costs.“We are . . . concerned about insufficient capital funding Construction costs increased 25 percent over the past two years with interest rates the highest they’ve been in 20 years, greatly increasing the costs of affordable housing production.” NYHC also decries the shortfall in staffing at HPD, noting that the agency had more than 400 vacancies in January 2023, about 15% of the authorized headcount.
New York City’s government is caught in a squeeze between its aspirations to intervene heavily in housing markets and to fund an enormous affordable housing program, while simultaneously meeting all the city’s other capital needs and maintaining its high-quality credit rating. The squeeze is further complicated by the city’s commitment to NYCHA—another massive social housing enterprise.
Housing represents 14% of an overall $159 billion preliminary 10-year capital plan. Debt service is projected to rise in the 10-year period and, by the end, approach 15% of tax revenue, which is considered a prudent limit by the city. Most of the plan is spent on bringing city facilities to a state of good repair ($87.3 billion) or on programmatic replacement ($34.6 billion). New and special-needs housing, at $11.5 billion, represents nearly a third of the $37.5 billion allocated to program expansion.[284]
NYHC, in its analysis, states: “[I]f Mayor Adams is serious about his ambitious housing goals,[285] he must show they have real support by providing the necessary staffing and capital funding to carry it out.”[286] An alternative is prudently right-sizing affordable housing goals to fit available resources. In that case, housing policy would be less oriented toward maximizing government intervention and expenditure, and more oriented toward seeking other—private—sources of housing investment.
What the City’s Affordable Housing Commitments Produce
Much of the city’s spending on affordable housing goes to preservation of existing affordable housing, rather than new construction. As with NYCHA, many buildings in the city’s large stock of existing privately owned affordable housing do not produce the cash flows necessary to rehabilitate aging buildings or maintain low rents once subsidies expire, necessitating new subsidies from the city. Keeping old housing affordable is almost always cheaper than building new affordable housing, so the emphasis on preservation is sensible.
A look at HPD’s housing starts in calendar year 2022 provides insight into what the city is getting for its vast housing efforts.[287] Last year, HPD started 487 housing projects, including 199 small homes under the “homeowner assistance” category, 69 “multifamily financing” projects, 218 in the “multifamily incentives” category, and one under the “Small Homes Program.”
The 69 multifamily financing projects, which receive most of the capital budget subsidies, are heavily low income. HPD’s 2022 starts in this category are summarized in Table 1. There were 9,867 affordable (below-market) units counted in all, of which 4,432 were new construction and 5,435 the preservation of existing affordable housing. The vast majority of these units were targeted to households of “extremely low,” “very low,” or “low” incomes.[288] Of the total, 1,128 units were reserved for seniors aged 62 or older.
Table 1.
HPD Multifamily Financing Starts, Calendar Year 2022

HPD’s separate public database of funding amounts, as of February 2023, is updated only to the end of 2021. Rockaway Village Phase 4, a Queens project that started on December 29, 2021, is typical of new multifamily financing projects in the database. It consists of new construction of 184 affordable units, of which 46 are extremely low income, 46 very low income, and 91 low income (one unit is for a superintendent). The development received a loan of $22.54 million in city capital funds, about $122,500 per unit.[289] The nonprofit developer Phipps Houses announced in January 2022 that it had secured $116 million in financing for the project, citing additional funding provided by HDC, Citibank, and Richman Housing Resources LLC.[290] The project is funded via HDC’s Extremely Low & Low-Income Affordability (ELLA) Program, which combines first-mortgage financing via tax-exempt bonds,[291] a second mortgage financed from HDC’s reserves, equity investment by beneficiaries of federal low-income housing tax credits, and other subsidies. The complex parameters of the deal are specified in a regulatory agreement between HPD, HDC, and the development entity.[292] If all goes well, HDC’s financing is secured by the cash flows of the project and is not at risk. The project will also benefit from a Section 420-c tax exemption, available to low-income housing projects financed with tax credits.[293]
Multiple public funding streams are necessary to make the deal work economically. Such deals are scalable only at great expense. For several reasons (discussed below), the mayor’s ambitious housing goals need to be achieved not by ramping up capital funding, as advocated by NYHC, but through policies that reduce the burden on HPD’s staff and budget.
These types of deals—those that finance the construction of new affordable housing through subsidies—are complicated. To protect its interests, the city is dependent on highly qualified staff. Many of those staff aspire, after gaining a few years’ experience, to jump to the private side of the table, where the pay is better. In a strong job market like the current one, the city strains to sustain even the pace of closings of previous years. Adding funding for more new construction to the HPD capital budget, even if the city’s tax-revenue outlook improves, adds to this strain.
Capital budget funding for new housing construction is used in conjunction with federal low-income housing tax credits and private activity bonds. The supply of these is fixed by federal law at the state level, and the city’s share is determined in negotiations with state officials. Since additional bond authority and tax credits would not be available, scaling up capital budget funding for new housing construction would result in a greater dependence on city funds and thus much higher per-unit costs for each incremental affordable housing unit.
New York City in 2022 operated two off-budget mechanisms—the Section 421-a tax exemption; and inclusionary housing programs, which are categorized in HPD’s reporting data as “multifamily incentives”—to facilitate construction of new affordable housing. These incentive programs streamline administrative burdens by limiting the required paperwork to a single, standardized regulatory agreement.
Last year saw a rush of Section 421-a activity, as the state allowed the program’s statutory authority to expire in June 2022. HPD’s project database reports 206 developments started in 2022 that are expected to utilize this incentive.[294] To get the tax incentive, developments need to commit to a specified percentage of affordable units, generally for a 35-year regulatory period, equivalent to the period in which the tax incentive is in effect. The projects started in 2022 are expected to provide 3,068 affordable units, of which the largest share, 1,757, are middle-income.[295] The list also includes 438 very low-income, 743 low-income, and 130 moderate-income units. As shown in Table 2, most of these units are in buildings in areas where zoning mandates affordable housing under the de Blasio–era Mandatory Inclusionary Housing Program (MIH), or where it provides a floor area “bonus” under the older, voluntary Inclusionary Housing Program (VIH).[296] However, given the difficult housing financing conditions created by rising interest rates, some of these projects may not proceed to completion. Future production of affordable housing under both inclusionary housing models is in jeopardy in the future unless Section 421-a is renewed by the state legislature in a workable form.[297] As of early 2023, the legislative outcome is considered uncertain.
Table 2.
New York City Affordable Housing Starts in 2022, Mixed-Income Projects Expected to Utilize Section 421-a Tax Incentive, Inclusionary Housing Programs

What Are the Effects of Rising (or Falling) Affordable Housing Funding?
As noted above, much of HPD’s affordable housing construction and rehabilitation funding is pre-committed. This includes funding for bringing NYCHA buildings to a state of good repair. Additionally, Mayor Adams has accelerated the city’s commitment, announced by his predecessor in November 2015, to construct 15,000 units of supportive housing in 15 years.[298] According to a report prepared at that time by a group of experts:
Supportive housing is affordable housing with supportive services, including both mental and physical healthcare access, connection to alcohol and substance abuse programs, and other social services. It is a proven, cost-effective approach to addressing the needs of New Yorkers struggling with mental illness, homelessness, and substance use. It reduces usage of homeless shelters, hospitals, mental health institutions, and jails/ prisons.[299]
In a city beset by highly visible, apparently mentally ill, homeless persons, Adams accelerated the 15,000-unit production target to 2028.[300]
The city’s senior housing efforts are a response to the rapid growth in the city’s elderly population. In 2019, according to the U.S. Census Bureau, NYC had 1.281 million residents over the age of 65, compared with 997,000 in 2010.[301] Many of these older New Yorkers are living in housing units that are not accessible to people with disabilities or are too expensive for them to maintain, and the demand for low-cost housing adapted to seniors’ needs has been strong. In 2016, the city enacted zoning amendments—called Zoning for Quality and Affordability—that adapted zoning rules to the needs of senior housing, making the construction of such housing more feasible.[302] At that time, the de Blasio administration set a target of constructing 5,000 senior housing units in a decade. HPD, in fact, started 595 new affordable senior housing units in 2022 under its Senior Affordable Rental Apartments (SARA) program, which utilizes tax-exempt bonds and low-income housing tax credits.[303]
The city’s commitment to the preservation of existing affordable housing is an outgrowth of decisions made decades ago—to build affordable housing but to provide financing only for a specified period, and not to provide a capital reserve for replacement of building systems. Politicians of the past viewed the end of the mortgage term and the regulatory period as someone else’s problem; for current city officials, that time, in many cases, is now. Where private owners want to continue affordability, the city will be loath to refuse the financial assistance that they need.
That leaves new construction of affordable family housing as the most flexible component of HPD’s capital program, rising and falling based on available resources. City capital funds are used to fill financing gaps in NYC’s high-cost environment, to reach extremely low-income households in projects using tax credits, and to provide more below-market units than tax-credit rules require.[304]
New York City has been under pressure from affordable housing advocacy groups to target extremely low-income households. According to a recent report from the Association for Neighborhood & Housing Development (ANHD):
To solve our housing crisis New York City must create housing at affordability levels for the households that truly need it 54.6% of rent-burdened households[305] make less than 30% AMI, and another 23.5% make below 50%. . . . Local government has the power and flexibility to create subsidy programs targeting various different AMI levels. New York City needs to modify its programs and shift its own capital resources to build and preserve housing and lower income levels where it is truly needed.[306]
An increased focus on providing subsidies to very low-income households would be very expensive on a per-unit basis. Moreover, the city would have to rely almost entirely on capital debt, and not the off-budget tax incentives and inclusionary housing programs.
Recommendations
A less costly, and more effective, alternative to this sort of income targeting would be to adopt policies that aim to make existing housing cheaper and more available. This would help address the problem of “rent-burdened” households with extremely and very low incomes; they could be given cash supplements for existing units, which are much cheaper than subsidizing new construction.[307]
If Adams were able to meet his 500,000-unit housing goal, or even a large fraction of it, the city would be well on the way to a better situation, in which much of the city’s large stock of existing, older housing would be affordable and readily available to households at much lower incomes than is the case today. Most of the actions needed to meet this goal do not require more funding but do require zoning and other reforms—both at the city and state levels—that have not, up to now, had a coalition of support.[308]
In the 2023 session, New York State legislators were considering a proposal to create a state housing voucher program modeled on, and intended to supplement, the Federal Housing Choice Vouchers (Section 8) program.[309] Unfortunately, in the absence of housing supply–boosting actions in NYC, expanding vouchers will simply exacerbate shortages. As a component of a larger effort to boost housing supply, an expanded voucher program could make sense, as it would allow the city to cut back on new construction subsidies targeted to households at the lowest income levels.
Conclusion
In its first year in office, the Adams administration focused a large share of its city-funded capital expenditures for affordable housing on the preservation of existing public and private developments. New construction capital expenditures were directed to long-term commitments for the construction of low-income senior and supportive housing, as well as to 100%-affordable family-housing developments that also benefit from federal low-income housing tax credits and tax-exempt bonds.
The administration’s preliminary capital budget correctly resists pressure from affordable-housing advocates to expand the city’s capital commitments to highly subsidized new construction targeting the lowest-income households. At the same time, the administration embarked on an ambitious set of zoning changes intended to grow the city’s housing stock substantially without the necessity of additional city capital funding. Large increases in capital budget resources for new housing would both challenge the city’s ability to stay within prudent debt limits—thus jeopardizing its superior credit rating—and its ability to fill specialized staff positions in a highly competitive employment market.
To be successful in reconciling its need for housing growth with budget prudence, the city needs to build a political coalition not only for the changes that it is currently contemplating but for a much more aggressive set of reforms that I discussed in a recent report.[310] The administration also needs to stop making costly promises to city councilmembers of enhanced housing affordability percentages (necessarily via public subsidies) in new developments in areas where zoning amendments are necessary.[311] These promises are not consistent with the amount of resources available for such projects. Additionally, the city needs support from the state legislature on multiple priorities, all of which are uncertain as of early 2023.
New York City is transitioning away from housing policies that disdain private for-profit real-estate investment. It is perhaps beginning to grapple with unrealistic expectations that a dire housing shortage can be resolved with public subsidies for affordable housing and zoning that requires affordable housing in new developments. New Yorkers are discovering that the city’s ability to build more subsidized housing is limited by its financial capacity and that zoning-based inclusionary housing programs depend, even for a modest level of low-income housing production, on extremely expensive tax incentives. Yet the city’s political leadership is far from consensus on structuring a viable alternative. Holding the line on HPD’s capital program is an important signal that the city needs to progress down a different, more viable, path.
Board of Elections
John Ketcham
Director, State & Local Policy; Fellow, Manhattan Institute
The Context
The Board of Elections in the City of New York (“BOE” or “board”) is the government entity that administers elections in New York City. Article II, Section 8 of the New York State Constitution requires equal representation of the two highest-vote-getting parties (i.e., the two major parties) in “boards or officers charged with the duty of qualifying voters, or of distributing ballots to voters, or of receiving or counting votes at elections.” The statutory Election Law further requires that the city BOE consist of 10 commissioners—one Democrat and one Republican from each of the five counties—who are nominated by the county parties’ executive committees.[312]
Commissioners appoint and remove board employees at their pleasure.[313] There are no requirements that commissioners or employees hold credentials or qualifications necessary to fulfill their responsibilities. As a result, the board is largely staffed by political appointees without significant election administration experience or expertise. Unsurprisingly, BOE mishaps occur routinely. More than a decade ago, former Village Voice columnist Tom Robbins characterized the board as “a rogue agency that answers only to itself, all on the taxpayers’ dime.”[314]
While the city board’s annual budget of about $220 million in FY 2022—funded entirely through the city tax levy—represents only about 0.2% of the total municipal budget, it deserves special attention. New Yorkers pay hundreds of millions of dollars in taxes each year to prop up a dysfunctional system of election administration. The furor quickly abates after each Election-Day blunder, while the two parties retain their long-term interest in staffing the board, rendering it largely resilient to accountability or reform.
The Problem
State law imposes requirements that inflate BOE’s budget. Its statutorily required 10-commissioner board treats the city not as a unified political entity but as a collection of five counties—and the structure invites evasion rather than accountability. Other counties in the state have a default of two commissioners, while local law in counties numbering 120,000 or more residents may extend boards to four.[315]
For positions involving critical functions such as ballot distribution and tabulation, requiring representatives from both major parties might be justified to ensure evenhandedness and to prevent partisan malfeasance (notwithstanding the legitimate objections of minor parties). But the Election Law extends a bipartisan representation requirement even to low-level positions like clerks and machine technicians, where such concerns are far less germane.[316] That holds even if only one such position is necessary to ensure New Yorkers’ ability to vote and to ensure the integrity of elections. The resulting duplication invites fiscal waste, serving the interests of the county political parties, not the public.
In practice, board hiring works like this: the 10 major-party county committees nominate commissioners; the city council rubber-stamps them for fear of upsetting party officials, who might otherwise withhold future political support; and commissioners, in turn, hire staffers largely on the basis of patronage, not merit.[317] Consequently, city investigations stretching back decades have revealed illegality, waste, inefficiency, and, essentially, no accountability.[318]
BOE workers do not undergo background checks before being hired, despite their access to computer systems containing sensitive personal information.[319] Some have been hired despite having no prior permanent employment[320] or despite having criminal records. Some have even retained their jobs after committing crimes such as grand larceny and assault while working for the city—normally, immediate grounds for firing.[321] Despite the city charter’s prohibition against the use of a public service position to benefit a relative,[322] according to a withering 2013 Department of Investigation Report, 69 employees, including two commissioners, had a relative working at BOE.[323] Performance evaluations are rare or nonexistent, and disciplinary procedures are used sporadically and sometimes to oust those who have fallen out of political favor.[324]
Despite its critical importance in directing primary and general elections for New York’s approximately 5 million registered voters, only a small cadre of dedicated and capable workers keeps the board operational. As a result, elections are routinely marked by ineptitude-driven mishaps, such as inoperable voting machines, long lines, improperly printed absentee ballots,[325] illegally purged voter rolls,[326] and poor poll-worker practices,[327] among many others.
BOE Budget and Headcount Specifics
BOE’s budget is broken down into two units of appropriation: Personal Services (PS)—salaries for staff and poll workers; and Other than Personal Services (OTPS), which includes contracts, property and equipment charges, supplies and materials, and transportation. In 2022, noteworthy expenses include $11.5 million in overtime pay (despite reports of rampant time abuse and inefficiency) and $12 million in printing costs.
BOE does not conduct a competitive bidding process to procure paper ballots, resulting in substantially inflated costs per ballot. A 2015 report from the Division of State Government Accountability estimated that the city paid, on average, $0.52 per ballot, exceeding the average competitive bid price by $0.17, or 50%. For the 2010–12 election cycles, this represented a predicted loss of $2.4 million.[328] Nor does it take care to estimate a realistic number of ballots needed in a forthcoming election, and thus often prints far more than necessary, which leads to an even greater loss. In 2010 and 2012, respectively, the board printed 110% and 115% of the total number of active voters; during the city council election of 2011, it printed enough ballots to cover 75% of active voters.[329] Out of 14.1 million ballots procured, a whopping 9.96 million went unused, resulting in $5.18 million wasted on unused ballots. Simply printing based on 110% of historical turnout figures would have saved the city about $4.61 million, without affecting New Yorkers’ ability to cast their vote.[330]
New York State’s 2019 adoption of early voting[331] now requires BOE to provide voters with nine days of in-person voting prior to Election Day, with a minimum of eight hours per early-voting day.[332] As Table 1 demonstrates, BOE’s funding correspondingly rose in 2019 and 2020, as then-mayor Bill de Blasio granted BOE $75 million for early voting for the 2019 election cycle[333] and the Covid-19 pandemic led to increased state and federal funding.[334]
The city’s adoption of ranked-choice voting in local primaries[335] has also underscored the need for sound administration and effective use of taxpayer dollars. In the heated general presidential election of 2020, some voters waited in line for early voting for up to three hours.[336] And if the city legislation granting approximately 900,000 lawful noncitizen residents the right to vote is upheld on appeal, BOE reform will be necessary to ensure that noncitizens do not vote in prohibited state and federal races, which can subject them to criminal penalties and even a loss of their ability to naturalize or remain in the United States.[337]
Table 1.
NYC Board of Election Actual Expenditures (in $thousands)[338]

As Table 2 demonstrates, the BOE headcount grew by some 30% over the last decade—a period that has been filled with serious mishaps, such as hours-long lines, voters locked out of polling stations in the morning,[339] and the board’s infamous failure to remove test ballots before reporting the first round of ranked-choice votes in the 2021 Democratic mayoral primary.[340]
According to the departmental estimates in the mayor’s FY 2024 preliminary budget, BOE anticipated 517 full-time positions and a budget of $136.7 million.[341] Because this would represent a decline of more than 200 full-time positions, it is likely an unrealistic projection.[342] But given that many, if not most, of the political appointees provide relatively little value to actual electoral administration, much of BOE’s headcount could be reduced without compromising city elections, provided that the political will exists. Though the mayor does not have direct oversight and removal authority over the board, the city council could exercise greater scrutiny over nominees for commissioner positions. And as the city provides essentially all BOE funding, cuts might force reductions in low-value headcount.
Table 2.
NYC Board of Elections Headcount

Recommendations
Much commentary about potential BOE reform has centered on the need for a state constitutional amendment, which would have to pass in both legislative houses in two consecutive years, followed by a majority vote in a statewide ballot measure.[345] Such an amendment would be necessary to achieve a complete restructuring of statewide election administration, such as a move to professionalized, nonpartisan boards of elections. But the most important reforms can take place through ordinary state legislation and even changes to BOE policies and practices.
The legislature should amend state law to require a merit-based process of hiring commissioners and employees and to repeal the bipartisan staffing requirement for roles that are not mandated by the state constitution. This would improve efficiency, reduce opportunities for political patronage, and allow BOE to substantially reduce its headcount, therefore saving the city tens of millions of dollars annually. Even more important, it would also reduce the mishaps and voting impediments that routinely characterize election days in New York City.
In fact, many of these proposals are already before the legislature. In 2022, State Senator Liz Krueger sponsored a comprehensive reform bill; it passed the senate and was introduced in the lower chamber by assembly member Nily Rozic, but failed to move out of committee.[346] If enacted, it would, among other things, reduce the number of commissioners to two, require public hearings before commissioner confirmations, mandate election administration qualifications, remove commissioners’ ability to hire staffers, and require written policies and procedures laying out personnel qualifications and listing job postings online.[347]
Another—more indirect—cost-saving reform, though one that would require a constitutional amendment, involves moving municipal elections to even-numbered years.[348] The current “off-cycle” local election calendar requires the city BOE to hold elections each year, thus necessitating more employees. This schedule also depresses city election turnout considerably, empowers special interests, and produces governments out of step with the political preferences of the median voter.[349] Holding city elections “on-cycle”—at the same time as state and federal elections—would not only dramatically make local government more participatory and representative; it could allow BOE to operate with a smaller core group of permanent workers and add capacity as needed, every other year.
Even if such reform legislation cannot muster the requisite political support in the state assembly to become law, reform-minded BOE commissioners can take immediate steps to rectify many of the agency’s most serious shortfalls. The Department of Investigation’s 2013 report discusses dozens of implementable recommendations; for example, a policy that bars hiring employees primarily based on political party recommendations; regular performance evaluations; an antinepotism policy; safeguards against employee time and attendance abuse; and a transparent, standardized, skills-based hiring process.[350] Given how these commissioners were selected, however, as well as the loyalties that they owe to their county political party, the chances of reform from within are unlikely.
Conclusion
The Board of Election’s current governance invites corruption, wastes taxpayer dollars, places the interests of county political parties over the general welfare, and jeopardizes New Yorkers’ ability to exercise their most precious civil right. Though BOE’s approximately $220 million annual budget represents only a small fraction of 1% of the citywide budget, tens of millions of dollars annually support hundreds of unnecessary positions for political loyalists and family members. Uncompetitive procurement contracts and unreasonable ballot printing provide examples of more board inefficiency that wastes millions of taxpayer dollars.
As election security and integrity have become matters of national importance, BOE’s deficiencies have come into even sharper relief. The additional complexities introduced by the state’s adoption of early voting and the city’s adoption of ranked-choice voting have underscored the need for competent election administration. Yet political considerations have long stymied attempts to correct the board’s long-standing deficiencies.
Several options exist to correct the board’s waste, ineffectiveness, and illegal practices. Aside from a constitutional amendment restructuring statewide election administration on a nonpartisan, technocratic basis, legislation should reduce the number of city commissioners and the requirement that each BOE position be staffed by a Republican and a Democrat. Even without changes to the law, the board should immediately adopt and implement long-overdue policies, including competitive bidding for printing ballots, a transparent, merit-based hiring process, employee background checks, disciplinary procedures, and regular performance evaluations. While eliminating political patronage will no doubt prove challenging, reforming BOE promises to free up tens of millions of dollars while simultaneously safeguarding New Yorkers’ right to vote. And without an avenue to support party loyalists with government jobs, those whom voters elect can better steward the public purse.
Conclusion
In February 1975, New York City was staring into the fiscal abyss. After years of unsound budget practices, such as placing operational expenses in the capital budget and issuing debt to cover them, banks that were underwriting municipal debt suddenly refused to continue to do so.[351] By April, the city had run out of money. That October, President Gerald R. Ford delivered a speech denying New York a bailout; the next day’s headline in the New York Daily News would receive immortality in city history: “FORD TO CITY: DROP DEAD.”[352]
But in the nearly half-century since, New York City refused to drop dead. After years of fiscal reorganization under the administrations of Governor Hugh Carey and Mayor Ed Koch, Gotham experienced a revitalization of such great proportions as to re-cement its position as the leading city of the world. From a foundation of fiscal stability, it could afford to implement the policies of NYPD commissioners William Bratton and Raymond Kelly, which accompanied declines in crime and disorder to levels that would have been considered miraculous to New Yorkers of the 1970s and 1980s.
The city’s challenges in the 2020s, while considerable, are a long way from 1975’s existential threat. Decades of strength in the finance and tech sectors have buoyed local tax revenues, building construction, and city services. With a metro-area GDP of now over $2 trillion, New York City has the economic conditions for it to thrive. But these conditions cannot be taken for granted. They are not the product of chance but the result of many difficult political decisions and trade-offs that laid a foundation for long-term success.
To be sure, the past half-century has not been entirely smooth or ideal. As this report has highlighted, serious issues remain in the ongoing work of reform and renewal. The question before us today is whether leaders in the city and state have the sustained political will to make difficult trade-offs. Fiscal prudence is not a subject for policy experts, city councilmembers, and administration officials; it is a matter of everyday life for New Yorkers across the five boroughs.
Those who wish to be part of their city’s ongoing renewal cannot afford to merely stand by. Learning from this report, and heeding its lessons, is a good first step.
About the Authors
Daniel DiSalvo is a senior fellow at the Manhattan Institute and a professor of political science at the Colin Powell School at the City College of New York–CUNY. DiSalvo’s scholarship focuses on American political parties, elections, labor unions, state government, and public policy. He is the author of Engines of Change: Party Factions in American Politics, 1868–2010 (2012) and Government Against Itself: Public Union Power and Its Consequences (2014).
Ray Domanico is a senior fellow and director of education policy at the Manhattan Institute. His career has spanned the public and nonprofit sectors, in research and advocacy roles. Most recently, Domanico was director of education research at New York City’s Independent Budget Office, where he led a team tasked with studying and reporting on the policies and progress of America’s largest public school system.
Stephen Eide is a senior fellow at the Manhattan Institute and contributing editor of City Journal. He researches social policy questions such as homelessness and mental illness and is the author of Homelessness in America: The History and Tragedy of an Intractable Social Problem (2022). Eide was previously a senior research associate at the Worcester Regional Research Bureau.
John Ketcham is director of state and local policy and a fellow at the Manhattan Institute. He graduated magna cum laude from Harvard Law School in 2021 and earned a BS in management information systems from Fordham University as valedictorian. While in law school, Ketcham served as treasurer of the Harvard Federalist Society and managing editor of the Harvard Journal of Law & Public Policy.
Eric Kober is a senior fellow at the Manhattan Institute. He retired in 2017 as director of housing, economic, and infrastructure planning at the New York City Department of City Planning. He was Visiting Scholar at NYU Wagner School of Public Service and senior research scholar at the Rudin Center for Transportation Policy and Management at the Wagner School from January 2018 through August 2019.
Hannah E. Meyers is a fellow and director of policing and public safety at the Manhattan Institute. She is an appointed member of the New York State Domestic Terrorism Task Force. Previously, Meyers managed corporate and private investigation teams for an international firm and directed research strategy for a counter-extremism NGO. She served for five years with the Intelligence Bureau of the New York City Police Department.
Endnotes
Photo by Dominik Bindl/Getty Images
Are you interested in supporting the Manhattan Institute’s public-interest research and journalism? As a 501(c)(3) nonprofit, donations in support of MI and its scholars’ work are fully tax-deductible as provided by law (EIN #13-2912529).