Bad Accounting Can’t Make the Public Pension Funding Shortfall Crisis Add Up
Photo: krisanapong detraphiphat / Moment via Getty Images
Introduction
Public-sector pensions are underfunded, and the problem is getting only worse. Despite many years of high asset returns, municipal and state finances face a slow-moving crisis as the bill comes due on their pension obligations. The burden will either fall on taxpayers or lead to cuts in benefits on retirees and essential services on the entire tax base. The time to fix an underfunded pension plan is always yesterday, but the current high-interest-rate environment offers an opportunity to put public-sector pensions on a more sustainable path. This will require changes at the state, local, and federal levels.
The core of the problem is pension accounting. The extent of underfunding is obfuscated by the current accounting standards that enable states and municipalities to underprice risk and the cost of their obligations. State and local pension plans use accounting standards suggested by the Governmental Accounting Standards Board (GASB), a nonprofit body, in order to measure their funding status in their Annual Comprehensive Financial Report (ACFR). These guidelines often influence the contributions that fund the plans.
GASB’s accounting standards are at odds with basic finance and are different from how pension liabilities are measured in the private sector. The current standards not only obscure the extent of underfunding; they create an incentive to invest in riskier assets and provide overly optimistic return assumptions. Research shows that overly optimistic return assumptions are a big driver of the increase in underfunded liabilities.[1]
For decades, critics have called for public pensions to adopt more defendable and commonly used accounting standards.[2] This would involve using market-based discount rates (the rate of return used to calculate future cash flow), particularly low-risk government interest rates. Lower and more defendable rates would reveal the extent of the underfunding based on current market rates, which is correct. But if states and cities realize the truth, it could result in dire financial consequences for some municipalities because it could mean higher contributions or higher municipal interest rates.
True, the underfunding reported in an ACFR does not necessarily have any direct impact on the contributions that states and cities pay to fund their pensions. But it enables further underfunding because it suggests that risk is costless and that providing pension benefits is cheaper than it is. The underfunding is also important because the funding level is observed by municipal bond buyers, highly motivated voters, and anyone with an interest in the health of the pension, such as unions. There is evidence that pensions do respond to what is in ACFRs. For instance, states and cities raised contributions when discount rates were lowered after the guidance was changed in 2012 because the local governments feared pressure from their stakeholders.[3]
While informing these stakeholders on the true extent of pension funding is desirable from an economical and long-term fiscal sustainability perspective, a drastic change could be self-defeating. States and municipalities are required to use GASB accounting in their ACFRs, but they are not required to make the necessary contributions estimated by GASB to cover the underfunding or even to use the same method to estimate their contributions. If the standards are seen as completely unreasonable or unrealistic, they will have less influence, which could worsen transparency and lead to more irresponsible investing.
Although the 2012 move faced resistance, it was, at best, a half-measure that sent mixed messages. Thus, even a few years ago, when rates were near-zero, moving to a more defendable standard would have been politically untenable. Our higher-interest environment changes this situation because the difference in expected return and interest rates is no longer so large. (In fact, in the last higher-rate environment, the 1990s, many pensions were overfunded.)
The current high-rate environment is an opportunity for states and municipalities to get on the right track by adopting better and more uniform standards for how liabilities are measured and for how contributions are calculated and paid. Ideally, this reform would encourage states and municipalities to start managing interest-rate risk, so that if rates fall or rise in the future, pensions would still be properly funded.
It is expensive to guarantee funding for pensions, but it can be managed using simple interest-rate hedging strategies. When the expected return is the discount rate, there is no incentive to use these strategies because the plan sponsor is fixated on returns rather than risk management. Requiring the sponsor to account for risk and the cost of a guarantee, which this issue brief explores, changes the focus for states and cities and makes the benefits of risk management more apparent.
How Pensions Are Valued and Why It Matters
The current standards required by GASB fail to account for risk, encourage risk-taking, and obfuscate the level of pension funding. Currently, public pension liabilities—or the present value of benefits promised to beneficiaries—are valued by discounting the future benefits to be paid using the expected rate of return on how the pension assets are invested.[4] “Discounting” the obligations means translating the future stream of estimated payments to retirees into a present value. In 2012, the rules were modified so that only liabilities funded by the plan’s assets could be discounted using the expected rate of return. As a result of this change, the true value of the liabilities is underestimated.
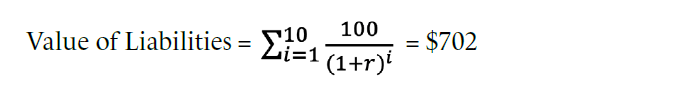
To illustrate the difference between the two standards, suppose that a pension fund owed $100 each year for the next 10 years; suppose also that it has $500 in assets and that the expected rate of return, r, is 7%.
Under the pre-2012 standard, the value of liabilities would be:

The liabilities discounted at that rate for the next 10 years are $702. This is more than the $500 in assets, so the plan is underfunded.
According to the post-2012 GASB guidance,[5] payments until year 6 (liabilities up to year 6 are equal to $476) can be discounted at 7% (the expected rate of return, r),[6] but most of the liabilities after that are to be discounted at the high-quality 20-year municipal bond rate, m. Suppose that m is 3%.
Under the post-2012 standard, the value of liabilities would be:

The estimated liabilities are now $783, higher than the $702 calculated before the 2012 change.
Both the old and new formulas create an incentive for the pensions to take more risk to make up for their underfunding.[7] If plan administrators invest in higher-risk assets, the expected return will be higher, and this will make the liabilities appear smaller. Suppose that the funds took on a lot of leverage and invested in private equity. They could claim a 15% return instead, which would yield only $500 in liabilities under the formulas, and the plan would appear fully funded.
The plan funding level is not only an indicator of the financial health of a state or municipality; it can also go toward the calculation of the actuarially determined contribution (ADC), which is the total amount required to fund a pension plan. ADC is based on the cost of new benefits incurred that year and paying down the unfunded portion of the pension, typically amortized over 12–15 years. Not all states pay the full ADC each year. After 2000, many did not in most years, as improved accounting standards, a shorter vesting period, and marking assets to markets increased contribution rates calculated in ADC.[8]
Most states use a different estimate from ADC calculated by GASB so that they can still smooth the value of their assets each year and face more predictable contributions. After the adoption of the new 2012 formula (also called GASB 67/68, after the statement numbers), GASB discouraged pensions from using its method when estimating their contributions. The organization was concerned about the incentives to game the system by increasing expected returns to lower contributions. As a result, there are not uniform standards, and different plans use different methods to calculate their ADC. And some states face statutory constraints from paying their full actuarial contribution, as the amount they can legally contribute is a fixed amount, or some fixed amount that varies each year.[9]
Changing the rates in 2012 was not all bad, even though it used a combined rate (expected rate of return plus the 20-year municipal bond rate) that is intellectually undefendable. Some evidence suggests that the change in GASB rules did affect behavior (post-2012, there was a move toward higher risk and less transparent private investments), but no rigorous work has been done tying changes in funds’ investment mixes to the accounting change. One recent study, by Divya Anantharaman and Elizabeth Chuk, estimates that moving to GASB 67/68 motivated some plans to increase funding and pay a bigger share of their ADC, especially if they were more accountable to unions or voters.[10]
Still, the current accounting standard is at odds with how risk is normally priced because it accounts for risk only for the underfunded part of the pension, not the pension in its entirety. It is irregular to value pension liabilities, or any liability, this way. Even if the new methodology resulted in a lower discount rate, which is more appropriate, it is still flawed, as many financial economists[11] and actuaries[12] have been warning. This issue brief will propose a solution for a more accurate and transparent way of calculating underfunded liabilities.
A More Defendable Approach
In financial economics, pension obligations are discounted at a rate that reflects the risk that the obligation will not be paid; this is the obligation’s value accounting for risk. The value of a liability has nothing to do with how the assets that fund it are invested. The value to the beneficiary is simply the real level of the payments and how likely the beneficiary is to receive them. For example, when it comes to corporate pensions, the discount rate used is the corporate bond yield because this rate, in theory, reflects the risk that the firm will default on its pension promises. The idea is that raising capital can be more expensive during a recession. This is also the time when the investment portfolio tends to be down, but pensions need to be paid anyway. So the correct discount rate reflects whether pensions will be paid, no matter the market conditions.
Initially, the risk-free rate was assumed to be most appropriate because it indicates that pensions are paid in all market environments, even when the cost of capital is most dear. And it seemed that pensions would always be paid, as many state constitutions guarantee that pension benefits cannot be amended. Economists Robert Novy-Marx and Joshua D. Rauh argued that since public pensions are guaranteed in state constitutions—and would get priority payment over municipal bondholders—they will be paid, no matter what. Therefore, state pensions should be discounted using the federal government yield curve.[13] Based on these assumptions, Novy-Marx and Rauh estimate that in 2022, the net pension liability (the difference between estimated liabilities and available assets) of 648 public pensions was more than $5 trillion, much larger than the $1.57 trillion reported,[14] and that, in the next decade, pension funds in many states might run out of money.[15]
However, after a few high-profile bankruptcies—e.g., Detroit (2013) and Puerto Rico (2017)—which resulted in benefits being amended, it does seem that pensions are low-risk but not risk-free. This suggests that a high-quality municipal rate might be more appropriate for calculating liabilities because it reflects the risk of financial stress in the state or city. By contrast, the discount rate is meant to capture merely the risk of default.
GASB is familiar with financial economists’ decades of criticisms on these issues,[16] but it has arguably mostly ignored them, and the pensions underfunding problem has gotten worse. However, GASB has gradually changed some standards over the years. The 2012 update, GASB 67/68, is flawed (and, in some ways, worse than the previous methodology) because using two completely different approaches to risk management in the same valuation is logically inconsistent, suggesting that unfunded benefits are somehow less risky than funded benefits, which is nonsensical.
Currently, pension funds are rolling out another flawed change, but one that at least moves the standards in the right direction. The latest GASB guidelines suggest that public pensions must include a new figure called the Low-Default-Risk Obligation Measure,[17] which is the funding ratio that uses a discount rate that reflects the risk that the pension will or will not be paid. (The funding ratio reflects the fund’s current financial position and measures the value of a pension plan’s assets, divided by its liabilities. This is not a fixed value.)
According to the guidelines, this need not be the primary measure that a state or city uses to estimate a funding ratio. It can be used in addition to the current (post-2012) method, couched in any language that the pension chooses, and there is no obligation to use it when calculating the contribution rate. As expected, this one small change is already a source of controversy[18] and pushback.[19] Yet, in many ways, this change is flawed, too. It suggests that there are several ways to value a pension liability, and there are not. Using the expected rate of return was never defendable because it assumes no risk to the taxpayer, and allowing several ways to measure liabilities gives it credibility that it should not have.
Instead, we should use the high-rate environment to move to a more sensible risk-based discount rate, once and for all.
Benefits to Pensions and Taxpayers
Around 2021, when the U.S. had near-zero rates, moving to the Treasury or municipal bond yield and recognizing the implications regarding pension underfunding could have been a fiscal disaster for states and municipalities. In 2022, the average funding ratio, over all state and local plans, was 77.1%.[20] But there is wide variation: it is less than 20% in some municipalities[21] and states.[22] These calculations also assumed the high, expected value discount rate, typically about 7%. Lowering that rate by nearly 600 basis points[23] would have been correct but would have increased pressure on states and municipalities to increase contributions dramatically or even freeze the pensions because their true cost to taxpayers would be more apparent. The more likely outcome is that there would be even less consistency and accountability, as the resulting estimated contributions would be seen as unrealistic and states could and can fund their pensions as they want.
Including the Low-Default-Risk Obligation Measure is a welcome step forward; but at this stage, listing it alongside the existing GASB 67/68 calculation means that it is merely illustrative, and pensions can still claim their old measure, based on the expected returns.
This makes no sense. Either pensions adhere to the basic principles of finance, or they don’t. Private pensions are not allowed to report different funding measures using radically different philosophies of finance. Using expected returns assumes that there is no risk to the taxpayer, even when the funds are invested in risky assets.
Instead, GASB should take advantage of the high-rate environment, and the new measure should be the official and only measure of actuarial health. But this is not enough to ensure that this rate has meaning. States also need to reform how they calculate their contributions and how much they pay each year.
Better Pension Contribution Practices
Pension contributions from employers are a function of their share of normal costs (the new accrued benefits from active workers) and of paying down any unfunded liability. This second part has grown over the years, as weak accounting standards enabled underfunding. According to estimates from the Equable Institute, 7.94% of payroll contributions in 2001 funded the normal cost, and 1.19% was needed to pay down the underfunded liability. By 2022, 8.13% of payroll contributions were funding normal costs (costs were similar over the 20-year period), but the unfunded liability portion was equal to 21.69% of payroll.[24] Notably, the unfunded liability increased during a time when asset returns were often positive. The S&P 500 grew nearly 250% during this period. Research estimates that 40% of the growth in underfunding comes from what were still overly optimistic asset-return assumptions, or assuming a 7%–8% return each and every year.[25]
There are other reasons for the increase in underfunding over the last 25 years—and other reasons that, since 2000, many states have not made their full ADC payment in most years. As mentioned above, some states do not pay the full ADC because their state constitutions allow for them to pay only a fixed percentage of payroll. This fixed percentage may or may not be larger than the ADC; but in the last few decades, it tended to be below.[26] Research by the Equable Institute estimates that underfunding the ADC happens in red as well as blue states. But the more underfunded a pension is—and the bigger the underfunded liability that needs to be paid—the more likely a state or municipality is not to pay its full ADC. This creates a vicious circle in which underfunded pensions tend to become more underfunded over time. Underfunding is also associated with worse fiscal health. This helps explain why the last few years were an exception to the tendency to underfund, as states were flush with cash from Covid relief. Some even paid in above their ADC.[27]
Within each state, different pensions may use different standards. Some base their contribution on a rate determined by the state’s actuaries; others use a fixed rate. In California, for example, CalPERS (the California Public Employees’ Retirement System, the largest public pension fund in the U.S.) is required to pay the full ADC each year, while CalSTERS (the California State Teachers’ Retirement System) pays a fixed rate. Often, municipalities can use their own funding rules. This creates a mishmash of pension rules and different ways of measuring ADC, making it impossible to have any clarity on funding levels, who is paying in enough, or what “enough” even is. All this confusion enables underfunding and limits accountability.
States and municipalities should adhere to uniform standards. One good example is Arizona, where the state pension board for public safety, the Public Safety Personnel Retirement System (PSPRS), determines appropriate actuarial assumptions and contribution levels of each municipality’s public safety pensions. This could be expanded statewide for all municipal pensions. Currently, GASB does not encourage states to use the ADC that it calculates. This is another potential distortion that further encourages investment in high-risk illiquid assets.[28] At the very least, they should be using the Low-Default-Risk Obligation Measure discount rate put forth by GASB to estimate funding and contribution rates.
Conclusion and Recommendations
By this point, it should be clear that lower discount rates, more accountability, and higher contributions are not attractive to states. Further, unlike private pensions, states are able to write their own rules, making the temptation to obfuscate the true level of public pension underfunding too irresistible. But GASB, state policymakers, and the federal government can all nudge states to adopt and follow new and better accounting standards. After all, even local pension shortfalls can lead to fiscal crises and put everyone at risk. This issue brief proposes three main reforms to be adopted by GASB, states, and the federal government, respectively, to assist in ensuring positive pension funding:
- GASB guidelines should eliminate the confusion and competing rates. Guidelines should use only the high-quality municipal bond rate as their discount rate in funding calculations and formulas for how states calculate their ADC.
- State pension boards should use this GASB guideline—the high-quality municipal bond rate—to calculate their ADC. All state pensions and municipalities should use the same discount rate standard, as they do for public safety pensions in Arizona. States should also require that all pension funds in the state pay their full ADC, as CalPERS does.
- All states that adopt these rules should have the opportunity to offer tax-exempt pension obligation bonds for the length of the amortization period that they use in their ADC calculations, up to 30 years.[29] The proceeds would go toward funding the full—most likely, higher—ADC calculated using the new GASB standards. In years when they do not pay their full ADC, states cannot issue these bonds and get the tax benefit.
This issue brief explained why states and municipalities should be using the high-quality municipal bond rate to discount their liabilities and to calculate their funding ratio. The current system encourages investments in risky, illiquid assets and obfuscates the state of underfunding. Now is the ideal time for this reform because of the higher municipal bond rates and relatively healthy state finances after the pandemic. As of March 2024, the current high-quality municipal bond rate is 2.5%–3.6%, depending on their maturity, while states’ current discount factor is about 7%.[30] This is a smaller difference than it was in 2019, when the municipal bond rate was 1%–2%. But a discount-rate reform still means that many funds once considered well funded will not be any more.
For example, CalPERS claims to be 72% funded using a 6.8% discount rate. Using a 4.5% discount rate (still 100 basis points higher than the municipal bond rate) would mean that it is only 50% funded,[31] and CalPERS is in better shape than many other funds. Changing the discount rate would be dramatic, and states and cities may choose not to use this rate when calculating their contributions. If that is the case, the disconnect between what is in the ACFR and their contribution will only further obscure the extent of underfunding and enable more risk-taking.
Nevertheless, states and municipalities must adopt this new, proposed GASB rate based on the municipal bond rate when calculating their contributions. They should also adopt uniform standards within state systems. This will ensure better behavior and proper funding and encourage better risk management.
One remaining concern is that states and municipalities have no incentive to adopt the new discount rate and contribution rate; therefore, the federal government might need to entice them. As this issue brief’s third recommendation mentions, the federal government can offer states and cities the ability to sell tax-free pension obligation bonds, which can be issued to finance the unfunded part of their liabilities.
States and local governments could submit pension obligation bond underwriting requests to the IRS, which would use the new, updated ADC at the high-quality municipal bond rate to calculate whether the government had made its full contribution in the previous fiscal year and was planning to continue its full contribution in the current fiscal year.
Unlike other municipal bonds, bonds issued to finance pensions are not tax-exempt.[32] But the opportunity to do so will put pensions on a more sustainable path and force them to realize the cost of the promises that they make. True, this creates more debt on their balance sheets; but this debt already exists in the form of opaque pension liabilities. Issuing the pension bonds just means that the debt is now fully transparent and marketable. Correct measurement and transparency will also encourage states to invest their assets to manage their risk, rather than simply trying to get a higher return.
Now is our best shot to fix state and local pensions, which pose a threat to state and local governments’ financial health. The high-rate environment and the relatively good financial position that many states and municipalities find themselves in, following the pandemic, make this the ideal time to ensure good accounting practices.
Endnotes
Photo: krisanapong detraphiphat / Moment via Getty Images
Are you interested in supporting the Manhattan Institute’s public-interest research and journalism? As a 501(c)(3) nonprofit, donations in support of MI and its scholars’ work are fully tax-deductible as provided by law (EIN #13-2912529).